0  428120  428128  428134  428138  428144  428146  428150  428156  428158  428164  428170  428174  428176  428180  428186  428188  428194  428198  428200  428204  428206  428210  428212  428214  428215  428216  428218  428219  428220  428222  428224  428228  428230  428234  428236  428240  428246  428248  428254  428258  428260  428264  428270  428276  428278  428284  428288  428290  428296  428300  428306  428314  447090 

5.二次曲线在高考中的应用

二次曲线在高考数学中占有十分重要的地位,是高考的重点、热点和难点。通过以二次曲线为载体,与平面向量、导数、数列、不等式、平面几何等知识进行综合,结合数学思想方法,并与高等数学基础知识融为一体,考查学生的数学思维能力及创新能力,其设问形式新颖、有趣、综合性很强。本文关注近年部分省的高考二次曲线问题,给予较深入的剖析,这对形成高三复习的新的教学理念将有着积极的促进作用。

(1).重视二次曲线的标准方程和几何性质与平面向量的巧妙结合。

(2).重视二次曲线的标准方程和几何性质与导数的有机联系。

(3).重视二次曲线性质与数列的有机结合。

(4).重视解析几何与立体几何的有机结合。

试题详情

4. 直线与圆锥曲线的位置关系:(在这里我们把圆包括进来)

(1).首先会判断直线与圆锥曲线是相交、相切、还是相离的

   a.直线与圆:一般用点到直线的距离跟圆的半径相比(几何法),也可以利用方程实根的个数来判断(解析法).

b.直线与椭圆、双曲线、抛物线一般联立方程,判断相交、相切、相离

c.直线与双曲线、抛物线有自己的特殊性

(2).a.求弦所在的直线方程;;b.根据其它条件求圆锥曲线方程

(3).已知一点A坐标,一直线与圆锥曲线交于两点P、Q,且中点为A,求P、Q所在的直线方程

(4).已知一直线方程,某圆锥曲线上存在两点关于直线对称,求某个值的取值范围(或者是圆锥曲线上否存在两点关于直线对称)

试题详情

3.圆锥曲线

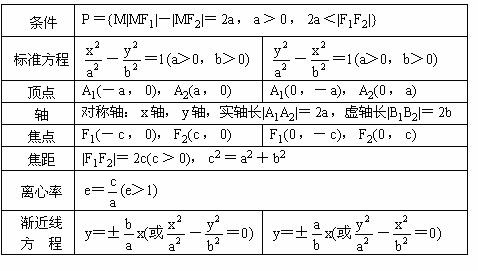
(1).椭圆的标准方程及其性质

 椭圆=1的参数方程为:(为参数)。

(2)双曲线的标准方程及其性质

双曲线=1的参数方程为:(为参数)。

 (3).抛物线的标准方程及其性质

平面内,到一个定点F和一条直线的距离相等的点的轨迹,叫做抛物线。定点F叫做抛物线的焦点,直线叫做抛物线的准线。

四种标准方程的联系与区别:由于选取坐标系时,该坐标轴有四种不同的方向,因此抛物线的标准方程有四种不同的形式。抛物线标准方程的四种形式为:,其中:

① 参数的几何意义:焦参数是焦点到准线的距离,所以恒为正值;值越大,张口越大;等于焦点到抛物线顶点的距离。

②标准方程的特点:方程的左边是某变量的平方项,右边是另一变量的一次项,方程右边一次项的变量与焦点所在坐标轴的名称相同,一次项系数的符号决定抛物线的开口方向,即对称轴为轴时,方程中的一次项变量就是, 若的一次项前符号为正,则开口向右,若的一次项前符号为负,则开口向左;若对称轴为轴时,方程中的一次项变量就是, 当的一次项前符号为正,则开口向上,若的一次项前符号为负,则开口向下。

抛物线的简单几何性质

方程
设抛物线
性质
焦点
范围
对称性
顶点
离心率
准线
通径


关于轴对称
原点



抛物线的参数方程为:(t为参数)。

 (4).圆锥曲线(椭圆、双曲线、抛物线统称圆锥曲线)的统一定义

与一定点的距离和一条定直线的距离的比等于常数的点的轨迹叫做圆锥曲线,定点叫做焦点,定直线叫做准线、常数叫做离心率,用e表示,当0<e<1时,是椭圆,当e>1时,是双曲线,当e=1时,是抛物线.

试题详情

3.参数方程与普通方程

 我们现在所学的曲线方程有两大类,其一是普通方程,它直接给出了曲线上点的横、纵坐标之间的关系;其二是参数方程,它是通过参数建立了曲线上的点的横、纵坐标之间的(间接)关系,参数方程中的参数,可以明显的物理、几何意义,也可以无明显意义.

 要搞清楚参数方程与含有参数的方程的区别,前者是利用参数将横、纵坐标间接地连结起来,

试题详情

2.二元二次方程是圆方程的充要条件

 “A=C≠0且B=0”是一个一般的二元二次方程表示圆的必要条件.

 二元二次方程表示圆的充要条件为“A=C≠0、B=0且”,它可根据圆的一般方程推导而得.

试题详情

2. 圆

 (1)圆方程的三种形式

 标准式:,其中点(a,b)为圆心,r>0,r为半径,圆的标准方程中有三个待定系数,使用该方程的最大优点是可以方便地看出圆的圆心坐标与半径的大小.

 一般式:,其中为圆心为半径,,圆的一般方程中也有三个待定系数,即D、E、F.若已知条件中没有直接给出圆心的坐标(如题目为:已知一个圆经过三个点,求圆的方程),则往往使用圆的一般方程求圆方程.

 参数式:以原点为圆心、r为半径的圆的参数方程是(其中θ为参数).

 以(a,b)为圆心、r为半径的圆的参数方程为(θ为参数),θ的几何意义是:以垂直于y轴的直线与圆的右交点A与圆心C的连线为始边、以C与动点P的连线为终边的旋转角,如图所示.

 三种形式的方程可以相互转化,其流程图为:

 

试题详情

1.直线

(1).直线的倾斜角和斜率

直线的的斜率为k,倾斜角为α,它们的关系为:k=tanα;

若A(x1,y1),B(x2,y2),则

(2) .直线的方程

a.点斜式:;  b.斜截式:

c.两点式:;  d.截距式:

e.一般式:,其中A、B不同时为0.

 (3).两直线的位置关系

两条直线有三种位置关系:平行(没有公共点);相交(有且只有一个公共点);重合(有无数个公共点).在这三种位置关系中,我们重点研究平行与相交。

若直线的斜率分别为,则

·=-1。

(4)点、直线之间的距离

点A(x0,y0)到直线的距离为:d=

两点之间的距离:|AB|=

试题详情

2、平面向量与三角函数的交汇是近年来的考查热点,一般服出现在解答题的前三大题里,在复习中,应加强这种类型试题的训练。

试题详情

1、平面向量部分的复习应该注重向量的工具作用,紧紧围绕数形结合思想,扬长避短,解决问题;

试题详情

(二)09高考预测

预计向量基本概念、向量基本运算等基础问题,通常为选择题或填空题出现;而用向量与三角函数、解三角形等综合的问题,通常为解答题,难度以中档题为主。

试题详情


同步练习册答案