0  429194  429202  429208  429212  429218  429220  429224  429230  429232  429238  429244  429248  429250  429254  429260  429262  429268  429272  429274  429278  429280  429284  429286  429288  429289  429290  429292  429293  429294  429296  429298  429302  429304  429308  429310  429314  429320  429322  429328  429332  429334  429338  429344  429350  429352  429358  429362  429364  429370  429374  429380  429388  447090 

25.下表是分析豌豆的两对基因遗传情况所得到的F2基因型结果(非等位基因位于非同源染

色体上),表中列出的部分基因型,有的以数字表示。下列叙述中不正确的是   (   )

配子
YR
Yr
yR
yr
YR
1
2
 
YyRr
Yr
 
 
3
 
yR
 
 
 
4
yr
 
 
 
yyrr

A.表中Y、y、R、r基因的编码区是间隔的、不连续的 

B. 1、2、3、4代表的基因型在F2中出现的几率大小为3>2=4>1 

C.F2中出现表现型不同于亲本的重组类型的比例是6/16或10/16 

D.表中Y、y、R、r基因的载体有染色体、叶绿体、线粒体

  答案  D 

试题详情

24.关于性染色体及其基因遗传方式的叙述中,不正确的是           (   )

A.性染色体上基因的遗传方式与性别相联系 

B.XY型生物体细胞内含有两条异型的性染色体 

C.体细胞内的两条性染色体是一对同源染色体 

D.XY型的生物体细胞内如果含有两条同型的性染色体可表示为XX

答案  B 

试题详情

23.下列关于伴性遗传方式和特点的说法中,不正确的是            (   )

A. X染色体显性遗传:女性发病率高;若男性发病其母、女必发病 

B.X染色体隐性遗传:男性发病率高;若女子发病其父、子必发病 

C.Y染色体遗传:父传子、子传孙 

D.Y染色体遗传:男女发病率相当;也有明显的显隐性关系 

答案  D 

试题详情

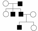
22.如图所示为四个遗传系谱图,则下列有关叙述正确的是         (   )

A.肯定不是红绿色盲遗传家系的是甲、丙、丁 

B.家系乙中患病男孩的父亲一定是该病基因的携带者 

C.四图都可能表示白化病遗传的家系 

D.家系丁中这对夫妇若再生一个女儿,正常的几率为3/4 

答案  A 

试题详情

21.在下面的遗传系谱图中,不可能的遗传方式和最可能的遗传方式是      (   )

A.常染色体隐性遗传和常染色体显性遗传 

B.细胞质遗传和伴Y染色体遗传 

C.伴X染色体隐性遗传和伴X染色体显性遗传 

D.常染色体显性遗传和伴Y染色体遗传

 答案  B

试题详情

20.如图表示果蝇的一个细胞,其中数字表示染色体,字母表示基因,下列叙述正确的是(   )

A.从染色体情况上看,该果蝇只能形成一种配子 

B.e基因控制的性状在雌雄个体中出现的概率相等 

C.形成配子时基因A、a与B、b间自由组合 

D.只考虑3、4与7、8两对染色体时,该个体能形成四种配子,并且配子数量相等

 答案  D 

试题详情

19.某人染色体组成为44+XYY,该病人可能是由于亲代产生配子时,什么细胞分裂的后期,两条性染色体移向同一侧所致                     (   ) 

A.次级精母细胞                 B.次级卵母细胞    

 C.初级精母细胞                 D.初级卵母细胞 

答案  A 

试题详情

18.对一对夫妇所生的两个女儿(非双胞胎)甲和乙的X染色体进行DNA序列的分析,假定DNA序列不发生任何变异,则结果应当是                 (   ) 

A.甲的两条彼此相同,乙的两条彼此相同的概率为1 

B.甲来自母亲的一条与乙来自母亲的一条相同的概率为1 

C.甲来自父亲的一条与乙来自父亲的一条相同的概率为1 

D.甲的任何一条与乙的任何一条都不相同的概率为1

 答案  C 

试题详情

17.在正常情况下,下列有关X染色体的叙述,错误的是           (   ) 

A.女性体细胞内有两条X染色体 

B.男性体细胞内有一条X染色体 

C.X染色体上的基因均与性别决定有关 

D.黑猩猩等哺乳动物也有X染色体

  答案  C

试题详情

16.一种观赏植物,纯合的蓝色品种与纯合的红色品种杂交,F1为蓝色,F1自交,F2为9蓝∶6紫∶1红。若将F2中的紫色植株用红色植株授粉,则后代表现型及其比例是  (   )

A.2红∶1蓝    B.2紫∶1红      C.2红∶1紫        D.3紫∶1蓝

  答案  B 

试题详情


同步练习册答案