相关习题
 0  70333  70341  70347  70351  70357  70359  70363  70369  70371  70377  70383  70387  70389  70393  70399  70401  70407  70411  70413  70417  70419  70423  70425  70427  70428  70429  70431  70432  70433  70435  70437  70441  70443  70447  70449  70453  70459  70461  70467  70471  70473  70477  70483  70489  70491  70497  70501  70503  70509  70513  70519  70527  97155 

科目: 来源:czsx 题型:

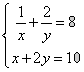
如果是方程组的解,则的关系是

A、
B、
C、
D、

试题详情

科目: 来源:czsx 题型:

下列说法错误的个数是:①同位角相等;②过一点有且只有一条直线与已知直线垂直;③过一点有且只有一条直线与已知直线平行;④若a∥b,b∥c,则a∥c

A、1个
B、2个
C、3个
D、4个

试题详情

科目: 来源:czsx 题型:

6年前,甲的年龄是乙的3倍,现在甲的年龄是乙的2倍,则甲现在的年龄是

A.12岁
B.18岁
C.24岁
D.30岁

试题详情

科目: 来源:czsx 题型:

如果一个两位数,十位上的数字与个位上的数字之和是6,那么这样的正整数有

A.4个
B.5个
C.6个
D.7个

试题详情

科目: 来源:czsx 题型:

二元一次方程组的解是

A、
B、
C、
D、

试题详情

科目: 来源:czsx 题型:

若|x-2|+|x+y+1|=0成立,则x,y的值分别是

A.
B.
C.
D.

试题详情

科目: 来源:czsx 题型:

如果两个角的两条边互相平行,那么这两个角

A、一定相等
B、一定互补
C、相等或互补
D、可能既不相等也不互补

试题详情

科目: 来源:czsx 题型:

方程3x-y=6的正整数解有

A.1个
B.2个
C.4个
D.无数个

试题详情

科目: 来源:czsx 题型:

已知三角形的三个顶点坐标分别是(-1,4)、(1,1)、(-4,-1),现将这三个点先向右平移2个单位长度,再向上平移3个单位长度,则平移后三个顶点的坐标是

A、(-2,2),(3,4),(1,7)
B、(-2,2),(4,3),(1,7)
C、(2,2),(3,4),(1,7)
D、(2,-2),(3,3),(1,7)

试题详情

科目: 来源:czsx 题型:

李明同学买了两种不同的贺卡共8张,单价分别是1元和2元,共用了10元,设他买的两种贺卡分别为x张、y张,则下列方程组正确的是

A.
B.
C.
D.

试题详情


同步练习册答案