精英家教网 > 初中数学 > 题目详情

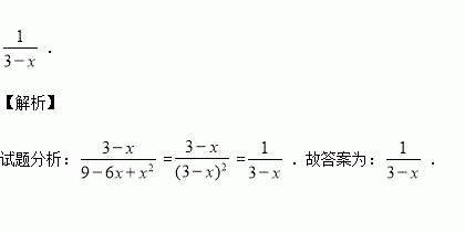
化简:= .

练习册系列答案
相关习题

科目:初中数学 来源:2015-2016学年江苏省七年级上学期期中考试数学试卷(解析版) 题型:选择题

在数轴上与3的距离等于4的点表示的数是( )

A.1 B.7 C.1或7 D.0

查看答案和解析>>

科目:初中数学 来源:2015-2016学年湖南省邵阳县黄亭市七年级上学期期中数学试卷(解析版) 题型:填空题

a>0,b<0,,则a,-a,b,-b,这四个数按从小到大的顺序,用“<”号连接起来是 .

查看答案和解析>>

科目:初中数学 来源:2015-2016学年湖南省邵阳县黄亭市七年级上学期期中数学试卷(解析版) 题型:选择题

的结果为( )

A.1 B.-1 C.2 D.-2

查看答案和解析>>

科目:初中数学 来源:2015-2016学年湖南省邵阳县黄亭市八年级上学期期中数学试卷(解析版) 题型:计算题

(本题10分)解下列分式方程:

(1)

(2)

查看答案和解析>>

科目:初中数学 来源:2015-2016学年湖南省邵阳县黄亭市八年级上学期期中数学试卷(解析版) 题型:选择题

如图,在△ABC中,∠B=∠C,FD⊥BC,DE⊥AB,∠AFD=158°,则∠EDF等于( )

A.58° B.68° C.78° D.32°

查看答案和解析>>

科目:初中数学 来源:2015-2016学年湖南省邵阳县黄亭市八年级上学期期中数学试卷(解析版) 题型:选择题

三角形的一个外角小于与它相邻的内角,这个三角形是( )

A.直角三角形 B.锐角三角形 C.钝角三角形 D.不确定

查看答案和解析>>

科目:初中数学 来源:2015-2016学年安徽省蚌埠新城教育集团八年级上学期期中数学试卷(解析版) 题型:选择题

如图所示,已知直线与x、y轴交于B、C两点,A(0,0),在△ABC内依次作等边三角形,使一边在x轴上,另一个顶点在BC边上,作出的等边三角形分别是第1个△AA1B1,第2个△B1A2B2,第3个△B2A3B3,…则第n个等边三角形的边长等于( )

A. B. C. D.

查看答案和解析>>

科目:初中数学 来源:2016届江苏省泰兴市九年级上学期期中考试数学试卷(解析版) 题型:解答题

如图,在正方形ABCD中,E为BC上任意一点(与B、C不重合),∠AEF=90°.观察图形:

(1)△ABE 与△ECF 是否相似?并证明你的结论.

(2)若E为BC的中点,连结AF,图中有哪些相似三角形?并说明理由.

查看答案和解析>>

同步练习册答案