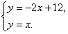
Èçͼ£¬ÔÚÆ½ÃæÖ±½Ç×ø±êϵÖУ¬Á½¸öÒ»´Îº¯Êýy=x£¬y=-2x+12µÄͼÏóÏཻÓÚµãA£¬¶¯µãE´ÓOµã³ö·¢£¬ÑØOA·½ÏòÒÔÿÃë1¸öµ¥Î»µÄËÙ¶ÈÔ˶¯£¬×÷EF¡ÎyÖáÓëÖ±ÏßBC½»ÓÚµãF£¬ÒÔEFΪһ±ßÏòxÖḺ·½Ïò×÷Õý·½ÐÎEFMN£¬ÉèÕý·½ÐÎEFMNÓë¡÷AOCµÄÖØµþ²¿·ÖµÄÃæ»ýΪS.
£¨1£©ÇóµãAµÄ×ø±ê£»
£¨2£©Çó¹ýA¡¢B¡¢OÈýµãµÄÅ×ÎïÏߵĶ¥µãPµÄ×ø±ê£»
£¨3£©µ±µãEÔÚÏß¶ÎOAÉÏÔ˶¯Ê±£¬Çó³öSÓëÔ˶¯Ê±¼ät£¨Ã룩µÄº¯Êý±í´ïʽ£»
£¨4£©ÔÚ£¨3£©µÄÌõ¼þÏ£¬tΪºÎֵʱ£¬SÓÐ×î´óÖµ£¬×î´óÖµÊǶàÉÙ£¿´Ëʱ£¨2£©ÖеÄÅ×ÎïÏߵĶ¥µãPÊÇ·ñÔÚÖ±ÏßEFÉÏ£¬Çë˵Ã÷ÀíÓÉ.
£¨1£©ÒÀÌâÒâµÃ ½âµÃ
        ¡àµãAµÄ×ø±êΪ(4£¬4)£»
£¨2£©Ö±Ïßy=-2x+12ÓëxÖá½»µãBµÄ×ø±êΪ£¨6£¬0£©.
         Éè¹ýA¡¢B¡¢OµÄÅ×ÎïÏߵıí´ïʽΪy=ax2+bx£¬ 
         ÒÀÌâÒâµÃ½âµÃ
       ¡àËùÇóÅ×ÎïÏߵıí´ïʽΪ
       =¡àµãP×ø±ê£¨3£¬£©£»
£¨3£©ÉèÖ±ÏßMF¡¢NEÓëyÖá½»ÓÚµãP¡¢Q£¬
        Ôò¡÷OQEÊǵÈÑüÖ±½ÇÈý½ÇÐÎ.
        ¡ßOE=1¡Át= t£¬ ¡àEQ=OQ=£¬¡àE£¨£¬£©. 
       
       
       ¢Ùµ±EF£¾QEʱ£¬ ¼´£¾£¬½âµÃ
        
       ¢Úµ±EF¡ÜQEʱ£¬¼´¡Ü£¬½âµÃ
       £»
£¨4£©
       ¡àµ±Ê±£¬S×î´ó=12 .      .  .   
       µ±Ê±£¬S×î´ó=()2=9. 
       ¡àµ±Ê±£¬S×î´ó=12.
          µ±Ê±£¬E£¨2£¬2£©£¬F£¨2£¬8£©£¬
         ¡ßP£¨3£¬£©£¬¡àµãP²»ÔÚÖ±ÏßEFÉÏ.
Á·Ï°²áϵÁдð°¸
Ïà¹ØÏ°Ìâ

¿ÆÄ¿£º³õÖÐÊýѧ À´Ô´£º ÌâÐÍ£º

¾«Ó¢¼Ò½ÌÍøÈçͼ£¬ÔÚÆ½ÃæÖ±½Ç×ø±êÖУ¬ËıßÐÎOABCÊǵÈÑüÌÝÐΣ¬CB¡ÎOA£¬OA=7£¬AB=4£¬¡ÏCOA=60¡ã£¬µãPΪxÖáÉϵÄÒ»¸ö¶¯µã£¬µ«ÊǵãP²»Óëµã0¡¢µãAÖØºÏ£®Á¬½ÓCP£¬DµãÊÇÏß¶ÎABÉÏÒ»µã£¬Á¬½ÓPD£®
£¨1£©ÇóµãBµÄ×ø±ê£»
£¨2£©µ±¡ÏCPD=¡ÏOAB£¬ÇÒ
BD
AB
=
5
8
£¬ÇóÕâʱµãPµÄ×ø±ê£®

²é¿´´ð°¸ºÍ½âÎö>>

¿ÆÄ¿£º³õÖÐÊýѧ À´Ô´£º ÌâÐÍ£º

£¨2012•Óå±±ÇøÒ»Ä££©Èçͼ£¬ÔÚÆ½ÃæÖ±½Ç×ø±êxoyÖУ¬ÒÔ×ø±êÔ­µãOΪԲÐÄ£¬3Ϊ°ë¾¶»­Ô²£¬´Ó´ËÔ²ÄÚ£¨°üÀ¨±ß½ç£©µÄËùÓÐÕûÊýµã£¨ºá¡¢×Ý×ø±ê¾ùΪÕûÊý£©ÖÐÈÎÒâѡȡһ¸öµã£¬Æäºá¡¢×Ý×ø±êÖ®ºÍΪ0µÄ¸ÅÂÊÊÇ
5
29
5
29
£®

²é¿´´ð°¸ºÍ½âÎö>>

¿ÆÄ¿£º³õÖÐÊýѧ À´Ô´£º ÌâÐÍ£º

Èçͼ£¬ÔÚÆ½ÃæÖ±½Ç×ø±êÖУ¬µÈÑüÌÝÐÎABCDµÄϵ×ÔÚxÖáÉÏ£¬ÇÒBµã×ø±êΪ£¨4£¬0£©£¬Dµã×ø±êΪ£¨0£¬3£©£¬ÔòAC³¤Îª
5
5
£®

²é¿´´ð°¸ºÍ½âÎö>>

¿ÆÄ¿£º³õÖÐÊýѧ À´Ô´£º ÌâÐÍ£º

Èçͼ£¬ÔÚÆ½ÃæÖ±½Ç×ø±êxOyÖУ¬ÒÑÖªµãA£¨-5£¬0£©£¬PÊÇ·´±ÈÀýº¯Êýy=
k
x
ͼÏóÉÏÒ»µã£¬PA=OA£¬S¡÷PAO=10£¬Ôò·´±ÈÀýº¯Êýy=
k
x
µÄ½âÎöʽΪ£¨¡¡¡¡£©

²é¿´´ð°¸ºÍ½âÎö>>

¿ÆÄ¿£º³õÖÐÊýѧ À´Ô´£º ÌâÐÍ£º

Èçͼ£¬ÔÚÆ½ÃæÖ±½Ç×ø±êÖУ¬ËıßÐÎOABCÊǵÈÑüÌÝÐΣ¬CB¡ÎOA£¬OC=AB=4£¬BC=6£¬¡ÏCOA=45¡ã£¬¶¯µãP´ÓµãO³ö·¢£¬ÔÚÌÝÐÎOABCµÄ±ßÉÏÔ˶¯£¬Â·¾¶ÎªO¡úA¡úB¡úC£¬µ½´ïµãCʱֹͣ£®×÷Ö±ÏßCP£®
£¨1£©ÇóÌÝÐÎOABCµÄÃæ»ý£»
£¨2£©µ±Ö±ÏßCP°ÑÌÝÐÎOABCµÄÃæ»ý·Ö³ÉÏàµÈµÄÁ½²¿·Öʱ£¬ÇóÖ±ÏßCPµÄ½âÎöʽ£»
£¨3£©µ±¡÷OCPÊǵÈÑüÈý½ÇÐÎʱ£¬Çëд³öµãPµÄ×ø±ê£¨²»ÒªÇó¹ý³Ì£¬Ö»Ðèд³ö½á¹û£©£®

²é¿´´ð°¸ºÍ½âÎö>>

ͬ²½Á·Ï°²á´ð°¸