Èçͼ1£¬ÔÚÆ½ÃæÖ±½Ç×ø±êϵÖУ¬ÓоØÐÎAOBC£¬µãA¡¢BµÄ×ø±ê·Ö±ðΪ£¨0£¬4£©¡¢£¨10,0£©£¬µãPµÄ×ø±êΪ£¨2£¬0£©£¬µãMÔÚÏß¶ÎAOÉÏ£¬µãNÔÚÏß¶ÎACÉÏ£¬×ÜÓСÏMPN=90 º£¬µãM´ÓµãOÔ˶¯µ½µãA£¬µ±µãMÔ˶¯µ½Aµãʱ£¬µãNÓëµãCÖØºÏ£¨Èçͼ2£©¡£ÁîAM=x
£¨1£©.Ö±½Óд³öµãCµÄ×ø±ê___________£»
£¨2£©¡¢¢ÙÉèMN2=y£¬Çëд³öy¹ØÓÚxµÄº¯Êý¹ØÏµÊ½£¬²¢Çó³öyµÄ×îСֵ£»
¢ÚÁ¬½ÓAP½»MNÓÚµãD£¬ÈôMN¡ÍA P£¬ÇóxµÄÖµ£»
£¨3£©¡¢µ±µãMÔÚ±ßAOÉÏÔ˶¯Ê±£¬¡ÏPMNµÄ´óСÊÇ·ñ·¢Éú±ä»¯£¿Çë˵Ã÷ÀíÓÉ.
![]()
![]()
ͼ1 ͼ2
| Äê¼¶ | ¸ßÖÐ¿Î³Ì | Äê¼¶ | ³õÖÐ¿Î³Ì |
| ¸ßÒ» | ¸ßÒ»Ãâ·Ñ¿Î³ÌÍÆ¼ö£¡ | ³õÒ» | ³õÒ»Ãâ·Ñ¿Î³ÌÍÆ¼ö£¡ |
| ¸ß¶þ | ¸ß¶þÃâ·Ñ¿Î³ÌÍÆ¼ö£¡ | ³õ¶þ | ³õ¶þÃâ·Ñ¿Î³ÌÍÆ¼ö£¡ |
| ¸ßÈý | ¸ßÈýÃâ·Ñ¿Î³ÌÍÆ¼ö£¡ | ³õÈý | ³õÈýÃâ·Ñ¿Î³ÌÍÆ¼ö£¡ |
¿ÆÄ¿£º³õÖÐÊýѧ À´Ô´£º2016-2017ѧÄê¹ãÎ÷±±º£ÊÐºÏÆÖÏØÆßÄê¼¶ÏÂѧÆÚÆÚÖп¼ÊÔÊýѧÊÔ¾í£¨½âÎö°æ£© ÌâÐÍ£ºÌî¿ÕÌâ
°Ñ·½³Ì2x£y£½7±äÐΣ¬Óú¬xµÄʽ×ÓÀ´±íʾy£¬Ôòy£½____________
²é¿´´ð°¸ºÍ½âÎö>>
¿ÆÄ¿£º³õÖÐÊýѧ À´Ô´£º2016-2017ѧÄêɽ¶«Ê¡Ì©°²ÊÐÌ©É½ÇøÁùÄê¼¶£¨ÎåËÄÖÆ£©ÉÏѧÆÚÆÚĩѧÇé¼ì²âÊýѧÊÔ¾í£¨½âÎö°æ£© ÌâÐÍ£ºµ¥Ñ¡Ìâ
|-7|µÄÏà·´ÊýÊÇ
A.
B. -
C. 7 D. -7
²é¿´´ð°¸ºÍ½âÎö>>
¿ÆÄ¿£º³õÖÐÊýѧ À´Ô´£º2016-2017ѧÄê½ËÕÊ¡¾¸½ÊÐÆßÄê¼¶ÏÂѧÆÚÆÚÖп¼ÊÔÊýѧÊÔ¾í£¨½âÎö°æ£© ÌâÐÍ£ºÌî¿ÕÌâ
ÇóÖµ£º
=_________£®
²é¿´´ð°¸ºÍ½âÎö>>
¿ÆÄ¿£º³õÖÐÊýѧ À´Ô´£º2016-2017ѧÄê½ËÕÊ¡¾¸½ÊÐÆßÄê¼¶ÏÂѧÆÚÆÚÖп¼ÊÔÊýѧÊÔ¾í£¨½âÎö°æ£© ÌâÐÍ£ºµ¥Ñ¡Ìâ
(x2£px£«3)(x£2)µÄ³Ë»ýÖв»º¬x2ÏÔò()
A. p£½2 B. p£½¡À2 C. p£½£2 D. ÎÞ·¨È·¶¨
²é¿´´ð°¸ºÍ½âÎö>>
¿ÆÄ¿£º³õÖÐÊýѧ À´Ô´£º2017½ì½ËÕÊ¡µ¤ÑôÊоÅÄê¼¶ÏÂѧÆÚÆÚÖп¼ÊÔÊýѧÊÔ¾í£¨½âÎö°æ£© ÌâÐÍ£º½â´ðÌâ
Èçͼ£¬µãA¡¢C¡¢B¡¢DÔÚͬһÌõÖ±ÏßÉÏ£¬BE¡ÎDF£¬¡ÏA£½¡ÏF£¬AB£½FD£®
£¨1£©ÇóÖ¤£ºAE£½FC£®
£¨2£©Èô¡ÏE=30¡ã£¬¡ÏD=45¡ã£¬Çó¡ÏFµÄ´óС¡£
![]()
²é¿´´ð°¸ºÍ½âÎö>>
¿ÆÄ¿£º³õÖÐÊýѧ À´Ô´£º2017½ì½ËÕÊ¡µ¤ÑôÊоÅÄê¼¶ÏÂѧÆÚÆÚÖп¼ÊÔÊýѧÊÔ¾í£¨½âÎö°æ£© ÌâÐÍ£ºµ¥Ñ¡Ìâ
Èçͼ£¬×ªÅ̱»Æ½¾ù·Ö³É8¸öÇøÓò£¬Ã¿¸öÇøÓò·Ö±ð±ê×¢Êý×Ö1¡¢2¡¢3£¬ÈÎÒâת¶¯×ªÅÌ£¬µ±×ªÅÌֹͣת¶¯Ê±£¬½«Ö¸ÕëËùÖ¸ÇøÓò±ê×¢µÄÊý×ּǼÏÂÀ´£¬£¨ÈôÖ¸ÕëÂäÔÚ½»½çÏßÉÏ£¬ÔòÖØ×ªÒ»´Î£©£¬Èç´ËÖØ¸´200´Î£¬ÔòÔÚËù¼Ç¼µÄ200¸öÊý×ÖÖУ¬ÖÚÊý×îÓпÉÄÜÊÇ£¨ £©
![]()
A. 1 B. 2 C. 3 D. 200
²é¿´´ð°¸ºÍ½âÎö>>
¿ÆÄ¿£º³õÖÐÊýѧ À´Ô´£º2016-2017ѧÄê½ËÕÊ¡ÒËÐËÍâ¹úÓïѧУ°ËÄê¼¶ÉÏѧÆÚÆÚÖп¼ÊÔÊýѧÊÔ¾í£¨½âÎö°æ£© ÌâÐÍ£º½â´ðÌâ
СÍõ¼ôÁËÁ½ÕÅÖ±½ÇÈý½ÇÐÎֽƬ£¬½øÐÐÁËÈçϵIJÙ×÷£º
£¨1£©Èçͼ1£¬½«Rt¡÷ABCÑØÄ³ÌõÖ±ÏßÕÛµþ£¬Ê¹Ð±±ßµÄÁ½¸ö¶ËµãAÓëBÖØºÏ£¬ÕÛºÛΪDE£¬ÈôAC=6cm£¬BC=8cm£¬ÇóCDµÄ³¤.
£¨2£©Èçͼ2£¬Ð¡ÍõÄóöÁíÒ»ÕÅRt¡÷ABCֽƬ£¬½«Ö±½Ç±ßACÑØÖ±ÏßADÕÛµþ£¬Ê¹ËüÂäÔÚб±ßABÉÏ£¬ÇÒÓëAEÖØºÏ£¬ÈôAC=6cm£¬BC=8cm£¬ÇóCDµÄ³¤
![]()
²é¿´´ð°¸ºÍ½âÎö>>
¿ÆÄ¿£º³õÖÐÊýѧ À´Ô´£º2016-2017ѧÄê½ËÕÊ¡ÎÞÎýÊÐÎý±±Æ¬ÆßÄê¼¶ÏÂѧÆÚÆÚÖп¼ÊÔÊýѧÊÔ¾í£¨½âÎö°æ£© ÌâÐÍ£ºµ¥Ñ¡Ìâ
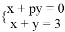
¹ØÓÚx£¬yµÄ·½³Ì×é
µÄ½âÊÇ
£¬ÆäÖÐyµÄÖµ±»¸ÇסÁË£¬²»¹ýÈÔÄÜÇó³öp£¬ÔòpµÄÖµÊÇ£¨ £©
A. £
B.
C. £
D. ![]()
²é¿´´ð°¸ºÍ½âÎö>>
¹ú¼ÊѧУÓÅÑ¡ - Á·Ï°²áÁбí - ÊÔÌâÁбí
ºþ±±Ê¡»¥ÁªÍøÎ¥·¨ºÍ²»Á¼ÐÅÏ¢¾Ù±¨Æ½Ì¨ | ÍøÉÏÓк¦ÐÅÏ¢¾Ù±¨×¨Çø | µçÐÅթƾٱ¨×¨Çø | ÉæÀúÊ·ÐéÎÞÖ÷ÒåÓк¦ÐÅÏ¢¾Ù±¨×¨Çø | ÉæÆóÇÖȨ¾Ù±¨×¨Çø
Î¥·¨ºÍ²»Á¼ÐÅÏ¢¾Ù±¨µç»°£º027-86699610 ¾Ù±¨ÓÊÏ䣺58377363@163.com