精英家教网 > 初中数学 > 题目详情

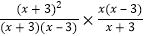
【题目】(1)先化简,再任意选一个你喜欢的数作为x的值代入求值.

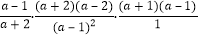
(2)先化简,再求值:,其中a2-a=0.

(3)已知y=-x+3.试说明不论x为任何有意义的值,y的值均不变.

【答案】(1);x=0时,原式=(x不能取±3和2,其余任意实数都可以);(2)a2-a-2;-2;(3)证明见解析.

【解析】

1)先根据分式混合运算的法则把原式进行化简,再选取合适的x的值代入进行计算即可;

2)首先把分子分母分解因式,然后相乘约分可得到a2-a-2,再把a2-a=0代入即可;

3)先把分子分母分解因式再化简约分即可.

(1)原式=

=

=

=.

x0时,原式==(x不能取±32,其余任意实数都可以)

(2)原式==(a-2)·(a+1)=a2-a-2.

a2-a=0时,原式=0-2=-2.

(3)y=-x+3=3

∴无论x取任何有意义的值,y的值均不变.

练习册系列答案
相关习题

科目:初中数学 来源: 题型:

【题目】已知:△ABC内接于⊙O,连接AO并延长交BC于点D.
(1)如图1,求证;∠ABC+∠CAD=90°;

(2)如图2,过点D作DE⊥AB于E,若∠ADC=2∠ACB.求证:AC=2DE;

(3)如图3,在(2)的条件下,连接BO交DE于点F,延长ED交⊙O于点G,连接AG,若AC=6 ,BF=OD,求线段AG的长.

查看答案和解析>>

科目:初中数学 来源: 题型:

【题目】计算:

1)(5mn2﹣4m2n)(﹣2mn

2)(x+7)(x﹣6x﹣2)(x+1

3 ()2 016×161 008

【答案】1﹣10m2n3+8m3n2;(22x﹣40(3)1

【解析】试题分析:1)原式利用单项式乘以多项式法则计算即可得到结果;

2)原式两项利用多项式乘以多项式法则计算,去括号合并即可得到结果

3)先根据幂的乘方的逆运算,把()2 016化为()1008,再根据积的乘方的逆运算计算即可.

试题解析:(1原式=5mn2)(﹣2mn+﹣4m2n)(﹣2mn=﹣10m2n3+8m3n2

2原式=x2﹣6x+7x﹣42﹣x2﹣x+2x+2=2x﹣40

3)原式=()1008×161 008=(×16)1 008=1.

型】解答
束】
19

【题目】如图,方格图中每个小正方形的边长为1,点ABC都是格点.

1)画出△ABC关于直线BM对称的△A1B1C1

2)写出AA1的长度.

查看答案和解析>>

科目:初中数学 来源: 题型:

【题目】如图,等腰三角形ABC底边BC的长为4cm,面积是12cm2,腰AB的垂直平分线EFAC于点F,若DBC边上的中点,M为线段EF上一动点,则BDM的周长最短为______cm

查看答案和解析>>

科目:初中数学 来源: 题型:

【题目】如图ABC C=90°,AD ABC 的角平分线,DEAB E,AC=BE.

(1)求证:AD=BD;

(2)B的度数.

查看答案和解析>>

科目:初中数学 来源: 题型:

【题目】某工程队(有甲、乙两组)承包一项工程,规定若干天内完成.

①已知甲组单独完成这项工程所需时间比规定时间多30天,乙组单独完成这项工程所需时间比规定时间多12天,如果甲乙两组先合做20天,剩下的由甲组单独做,恰好按规定的时间完成,那么规定的时间是多少天?

②实际工作中,甲乙两组合做完成这项工程的后,工程队又承包了新工程,需要抽调一组过去,从按时完成任务考虑,你认为留下哪一组更好?说明理由.

查看答案和解析>>

科目:初中数学 来源: 题型:

【题目】如图,在平面直角坐标系中,∠AOB=30°,点A坐标为(2,0),过A作AA1⊥OB,垂足为点A1;过点A1作A1A2⊥x轴,垂足为点A2;再过点A2作A2A3⊥OB,垂足为点A3;则A2A3=;再过点A3作A3A4⊥x轴,垂足为点A4…;这样一直作下去,则A2017的纵坐标为

查看答案和解析>>

科目:初中数学 来源: 题型:

【题目】如图,将RtABC沿射线BC方向平移得到DEF,已知AB=16cmBE=10cmDH=6cm,则图中阴影部分的面积为__________

查看答案和解析>>

科目:初中数学 来源: 题型:

【题目】如图,(1)指出DCABAC所截得的内错角;

(2)指出ADBCAE所截得的同位角;

(3)指出∠4与∠7,∠2与∠6,∠ADC与∠DAB各是什么关系的角,并指出各是哪两条直线被哪一条直线所截形成的.

查看答案和解析>>

同步练习册答案