精英家教网 > 初中数学 > 题目详情

如图,阳光下,小亮的身高如图中线段AB所示,他在地面上的影子如图中线段BC所示,线段DE表示旗杆的高,线段FG表示一堵高墙.

(1)请你在图中画出旗杆在同一时刻阳光照射下形成的影子;

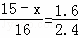
(2)如果小亮的身高AB=1.6m,他的影子BC=2.4m,旗杆的高DE=15m,旗杆与高墙的距离EG=16m,请求出旗杆的影子落在墙上的长度.


解:(1)如图:线段MG和GE就表示旗杆在阳光下形成的影子.

(2)过M作MN⊥DE于N,

设旗杆的影子落在墙上的长度为x,由题意得:△DMN∽△ACB,

                                                   …………………4分

又∵AB=1.6,BC=2.4,

DN=DE﹣NE=15﹣x

MN=EG=16

解得:x=

答:旗杆的影子落在墙上的长度为米.                       …………………6分


练习册系列答案
相关习题

科目:初中数学 来源: 题型:


如图,已知△ABC是等边三角形,点DF分别在线段BCAB上,∠EFB=60°,DC=EF

(1)求证:四边形EFCD是平行四边形;

(2)若BF=EF,求证:AE=AD

查看答案和解析>>

科目:初中数学 来源: 题型:


题一:如图是某学校的平面示意图,在8×8的正方形网格中,如果实验楼所在位置的坐标为(2,3).
(1)请画出符合题意的平面直角坐标系;
(2)在(1)的平面直角坐标系内表示下列位置:
旗杆_____,校门_____,图书馆_____,教学楼______.

查看答案和解析>>

科目:初中数学 来源: 题型:


如图,在菱形ABCD中,BD=6,AC=8,则菱形ABCD的周长为

A.20                          B.16                   

C.25                          D. 30

查看答案和解析>>

科目:初中数学 来源: 题型:


一个暗箱里放有个除颜色外完全相同的球,这个球中红球只有3个.若每次将球搅匀后,任意摸出1个球记下颜色再放回暗箱.通过大量重复摸球试验后发现,摸到红球的频率稳定在20%附近,那么可以推算出的值大约是             .

查看答案和解析>>

科目:初中数学 来源: 题型:


下列实数中,无理数是(       )

A.﹣1   B.     C.3. D.

查看答案和解析>>

科目:初中数学 来源: 题型:


为了开展阳光体育活动,某班计划购买毽子和跳绳两种体育用品,共花费 35 元,毽子单价 3 元, 跳绳单价 5 元,购买方案有(                      )

A.1 种 B.2 种 C.3 种 D.4 种

查看答案和解析>>

科目:初中数学 来源: 题型:


阅读材料:善于思考的小军在解方程组                 时,采用了一种“整体代换”的解法:

解:将方程②变形:4x+10y+y=5  即 2+y=5③

把方程①带入③得:2×3+y=5,y=﹣1

把 y=﹣1 代入①得 x=4,方程组的解为. 请你解决以下问题:

(1)模仿小军的“整体代换”法解方程组

已知 x,y 满足方程组                       .

(i)求 x2+4y2 的值;

(ii)求 + 的值.

查看答案和解析>>

科目:初中数学 来源: 题型:


比较实数的大小:﹣                           

查看答案和解析>>

同步练习册答案