精英家教网 > 初中数学 > 题目详情

如图,⊙O是Rt△ABC的内切圆,∠C=90°,BO的延长线交AC于点D,若BC=4,CD=2,则⊙O的半径的值是      


  

【考点】三角形的内切圆与内心.

【分析】设半径为r 过点O作OE⊥BC,垂足为E.再根据△BCD∽△BOE,然后根据对应边成比例,解出r即可.

【解答】解:设半径为r 过点O作OE⊥BC,垂足为E,如图所示:

∵OE∥AC,

∴△BCD∽△BEO,

由题意可得出:OE=EC=r,

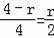
,即

解得:r=

故答案为:

【点评】此题主要考查了三角形内心的性质、相似三角形的判定与性质;得出EO=EC=r是解题关键.

 


练习册系列答案
相关习题

科目:初中数学 来源: 题型:


已知 AB 为 圆O 的直径, C 为圆 O 上一点,若直线 CD 与 圆O 相切于点 C,AD⊥CD,垂足为 D .

(Ⅰ)如图①, AB=10,AD = 2 ,求 AC 的长;

(Ⅱ)如果把直线 CD 向下平行移动,如图②,直线 CD 交圆O 于C, G 两点,若题目中的其它条件不变,且 AG= 4 ,BG=3,求的值.

查看答案和解析>>

科目:初中数学 来源: 题型:


某班参加学校六个社团的人数分别为4,4,5,x,3,6.已知这组数据的平均数是4,则这组数据的方差是      

查看答案和解析>>

科目:初中数学 来源: 题型:


下列方程有两个相等的实数根的是(  )

A.x2+x+1=0 B.4x2+2x+1=0     C.x2+12x+36=0   D.x2+x﹣2=0

查看答案和解析>>

科目:初中数学 来源: 题型:


如图,点O是矩形ABCD的边AD的中点,以O为圆心画,一个动点P从O出发沿线段OA→线段AB→→线段CD→线段DO作匀速运动,最后回到点O,设OP=y,运动时间为x,则y关于x的函数图象可能是(  )

A.       B.       C.       D.

 

查看答案和解析>>

科目:初中数学 来源: 题型:


如图,一位同学做了一个斜面装置进行科学实验,△ABC是该装置左视图,∠ACB=90°,∠B=15°,为了加固斜面,在斜面AB的中点D处连结一条支撑杆CD,量得CD=6.

(1)求斜坡AB长和∠ADC的度数;

(2)该同学想用彩纸实验装置中的△ABC的表面,请你计算△ABC的面积.

查看答案和解析>>

科目:初中数学 来源: 题型:


下列图形是中心对称图形的是(    ).

       

          A.                   B.                 C.                D.

查看答案和解析>>

科目:初中数学 来源: 题型:


已知如图,点在一条直线上,,//,

   求证:.

 


                   

                                                                                                                                    

                                                              

查看答案和解析>>

科目:初中数学 来源:2015-2016学年浙江省温州市苍南县七年级上学期期末诊断测试数学卷(解析版) 题型:选择题

据科学家估计,地球的年龄大约是4 600 000 000年,将数字4 600 000 000用科学记

数法表示为 ( )

A. B. C. D.

查看答案和解析>>

同步练习册答案