精英家教网 > 初中数学 > 题目详情

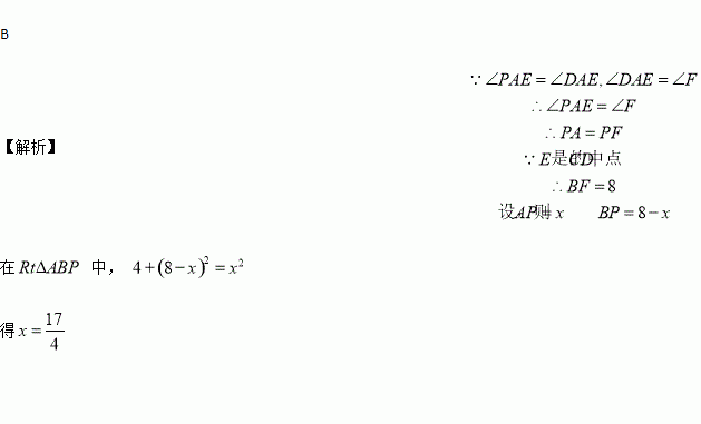
如图,在矩形ABCD中,AB=2,AD=4,E为CD的中点,连接AE交BC的延长线于F点,P为BC上一点,当∠PAE=∠DAE时,AP的长为( )

A. 4 B. C. D. 5

练习册系列答案
相关习题

科目:初中数学 来源:[首发]广东省汕头市澄海区2017届九年级5月模拟考试数学试卷 题型:单选题

一个正多边形的每个外角都等于36°,那么它是( )

A. 正六边形 B. 正八边形 C. 正十边形 D. 正十二边形

查看答案和解析>>

科目:初中数学 来源:2016-2017学年山东省八年级下学期期中阶段性教学评估考试数学试卷(解析版) 题型:填空题

把命题“对顶角相等”改写成“如果…那么…”的形式:________________________.

查看答案和解析>>

科目:初中数学 来源:【全国市级联考】山东省威海市2017届九年级下学业水平模拟调研数学试卷 题型:解答题

如图,在△ABC和△BCD中,∠BAC=∠BCD=90°,AB=AC,CB=CD.延长CA至点E,使AE=AC;延长CB至点F,使BF=BC.连接AD,AF,DF,EF.延长DB交EF于点N.

(1)求证:AD=AF;

(2)试判断四边形ABNE的形状,并说明理由.

查看答案和解析>>

科目:初中数学 来源:【全国市级联考】山东省威海市2017届九年级下学业水平模拟调研数学试卷 题型:填空题

如图,反比例函数的图像与一次函数y=x+2的图像交于A、B两点. 当x__________时,反比例函数的值小于一次函数的值.

查看答案和解析>>

科目:初中数学 来源:【全国市级联考】山东省威海市2017届九年级下学业水平模拟调研数学试卷 题型:单选题

下列几何体中,主视图是等腰三角形的是( )

A. B. C. D.

查看答案和解析>>

科目:初中数学 来源:【全国百强校】2017届江苏省自主招生模拟考试数学试卷(解析版) 题型:解答题

据环保中心观察和预测:发生于甲地的河流污染一直向下游方向移动,其移动速度(千米/小时)与时间t(小时)的函数图象如图所示,过线段OC上一点作横轴的垂线,梯形OABC在直线左侧部分的面积即为t(小时)内污染所经过的路程S(千米).

(1)当时,求的值;

(2)将变化的规律用数学关系式表示出来(t≤30);

(3)若乙城位于甲地的下游,且距甲地174 km,试判断这河流污染是否会侵袭到乙城,如果会,在河流污染发生后多长时间它将侵袭到乙城?如果不会,请说明理由.

查看答案和解析>>

科目:初中数学 来源:【全国百强校】2017届江苏省自主招生模拟考试数学试卷(解析版) 题型:单选题

已知三个关于x的一元二次方程ax2+bx+c=0 ,bx2+cx+a=0 ,cx2+ax+b=0恰有一个公共实数根,则的值为( )

A. 0 B. 1 C. 2 D. 3

查看答案和解析>>

科目:初中数学 来源:2016-2017学年江西省宜春市丰城市八年级下学期期中考试数学试卷(解析版) 题型:解答题

如图,O为矩形ABCD对角线的交点,DE∥AC,CE∥BD.

(1)试判断四边形OCED的形状,并说明理由;

(2)若AB=6,BC=8,求四边形OCED的面积.

查看答案和解析>>

同步练习册答案