精英家教网 > 初中数学 > 题目详情
已知关于x的一元二次方程x2-6x-k2=0(k为常数)。
(1)求证:方程有两个不相等的实数根;
(2)设x1,x2为方程的两个实数根,且x1+2x2=14,试求出方程的两个实数根和k的值。
解:(1)∵
∴方程有两个不相等的实数根;
(2)

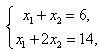
解方程组:
解得
方法一:将代入原方程得:
解得:
方法二:

解得:
练习册系列答案
相关习题

科目:初中数学 来源: 题型:

已知关于x的一元二次x2+(2k-3)x+k2=0的两个实数根x1,x2且x1+x2=x1x2,求k的值.

查看答案和解析>>

科目:初中数学 来源: 题型:

已知关于x的一元二次2x2-(2m2-1)x-m-4=0有一个实数根为
32

(1)求m的值;
(2)求已知方程所有不同的可能根的平方和.

查看答案和解析>>

科目:初中数学 来源: 题型:

已知关于x的一元二次x2-6x+k+1=0的两个实数根x1,x2
1
x1
+
1
x2
=1
,则k的值是(  )
A、8B、-7C、6D、5

查看答案和解析>>

科目:初中数学 来源:第23章《一元二次方程》中考题集(23):23.3 实践与探索(解析版) 题型:解答题

已知关于x的一元二次2x2-(2m2-1)x-m-4=0有一个实数根为
(1)求m的值;
(2)求已知方程所有不同的可能根的平方和.

查看答案和解析>>

科目:初中数学 来源:2007年全国中考数学试题汇编《一元二次方程》(04)(解析版) 题型:解答题

(2007•汕头)已知关于x的一元二次2x2-(2m2-1)x-m-4=0有一个实数根为
(1)求m的值;
(2)求已知方程所有不同的可能根的平方和.

查看答案和解析>>

同步练习册答案