精英家教网 > 初中数学 > 题目详情
如图,在平面直角坐标系中,已知点B(﹣2,0),A(m,0)(﹣<m<0),以AB为边在x轴下方作正方形ABCD,点E是线段OD与正方形ABCD的外接圆除点D以外的另一个交点,连接BE与AD相交于点F.
(1)求证:BF=DO;
(2)设直线l是△BDO的边BO的垂直平分线,且与BE相交于点G.若G是△BDO的外心,试求经过B、F、O三点的抛物线的解析表达式;
(3)在(2)的条件下,在抛物线上是否存在点P,使该点关于直线BE的对称点在x轴上?若存在,求出所有这样的点的坐标;若不存在,请说明理由.

(1 )证明:在△ABF 和△ADO 中,
∵四边形ABCD 是正方形,
∴AB=AD ,∠BAF= ∠DAO=90 °.
又∵∠ABF= ∠ADO ,
∴△ABF ≌△ADO ,
∴BF=DO ;
(2 )解:由(1 ),有△ABF ≌△ADO ,
∵AO=AF=m .
∴点F (m ,m ).
∵G 是△BDO 的外心,
∴点G 在DO 的垂直平分线上.
∴点B 也在DO 的垂直平分线上.
∴△DBO 为等腰三角形,
∵AB=AD ,
在Rt △BAD 中,由勾股定理得:
 
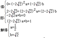
设经过B ,F ,O 三点的抛物线的解析表达式为y=ax2+bx+c (a ≠0 ).
∵抛物线过点O (0 ,0 ),
∴c=0 .
∴y=ax2+bx .  ①
把点B 的坐标带入①中,
 

∴抛物线的解析表达式为
(3 )解:假定在抛物线上存在一点P ,使点P 关于直线BE 的对称点P' 在x 轴上.
∵BE 是∠OBD 的平分线,
∴x 轴上的点P' 关于直线BE 的对称点P 必在直线BD 上,
即点P 是抛物线与直线BD 的交点.
设直线BD 的解析表达式为y=kx+b ,并设直线BD 与y 轴交于点Q ,则由△BOQ 是等腰直角三角形.
∴|OQ|=|OB| .
 

∴直线BD 的解析表达式为 .

 
∴在抛物线上存在点P1 (   ,0 ),P2 (-2 ,  ),它们关于直线BE 的对称点都在x 轴上.

练习册系列答案
相关习题

科目:初中数学 来源: 题型:

精英家教网如图,在平面直角坐标中,四边形OABC是等腰梯形,CB∥OA,OA=7,AB=4,∠COA=60°,点P为x轴上的一个动点,但是点P不与点0、点A重合.连接CP,D点是线段AB上一点,连接PD.
(1)求点B的坐标;
(2)当∠CPD=∠OAB,且
BD
AB
=
5
8
,求这时点P的坐标.

查看答案和解析>>

科目:初中数学 来源: 题型:

(2012•渝北区一模)如图,在平面直角坐标xoy中,以坐标原点O为圆心,3为半径画圆,从此圆内(包括边界)的所有整数点(横、纵坐标均为整数)中任意选取一个点,其横、纵坐标之和为0的概率是
5
29
5
29

查看答案和解析>>

科目:初中数学 来源: 题型:

如图,在平面直角坐标中,等腰梯形ABCD的下底在x轴上,且B点坐标为(4,0),D点坐标为(0,3),则AC长为
5
5

查看答案和解析>>

科目:初中数学 来源: 题型:

如图,在平面直角坐标xOy中,已知点A(-5,0),P是反比例函数y=
k
x
图象上一点,PA=OA,S△PAO=10,则反比例函数y=
k
x
的解析式为(  )

查看答案和解析>>

科目:初中数学 来源: 题型:

如图,在平面直角坐标中,四边形OABC是等腰梯形,CB∥OA,OC=AB=4,BC=6,∠COA=45°,动点P从点O出发,在梯形OABC的边上运动,路径为O→A→B→C,到达点C时停止.作直线CP.
(1)求梯形OABC的面积;
(2)当直线CP把梯形OABC的面积分成相等的两部分时,求直线CP的解析式;
(3)当△OCP是等腰三角形时,请写出点P的坐标(不要求过程,只需写出结果).

查看答案和解析>>

同步练习册答案