精英家教网 > 初中数学 > 题目详情
如图,在平面直角坐标系中,二次函数y=ax2+bx+2的图像与y轴交于点A,对称轴是直线x=,以OA为边在y轴右侧作等边三角形OAB,点B恰好在该抛物线上。动点P在x轴上,以PA为边作等边三角形APQ(△APQ的顶点A、P、Q按逆时针标记)。
(1)求点B的坐标与抛物线的解析式;
(2)当点P 在如图位置时,求证:△APO≌△AQB;
(3)当点P在x轴上运动时,点Q刚好在抛物线上,求点Q的坐标;
(4)探究:是否存在点P,使得以A、O、Q、B为顶点的四边形是梯形?若存在,请求出点P的坐标;若不存在,请说明理由。
解:(1)B(),y=-x2++2;
(2)“略”;
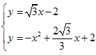
(3)Q在第三象限的抛物线上,设BQ与y轴交点为F
∵∠ABQ=90°,∠BAO=60°
∴∠AFQ=30°,
∴AF=2AB=4,OF=2
即F(0,-2)把F(0,-2),B(,1)代入y=kx+b得k=,b=-2
∴直线BQ解析式为:y=x-2,
解方程组:    
解得:(舍去)
当Q与B重合时,Q的坐标为(
∴满足条件的点Q坐标为:(,-6);
(4)由(2)可知,点Q总在过点B且与AB垂直的直线上,可见AO与BQ不平行,
①当点P在x轴负半轴上时,点Q在点B的下方,此时,若AB∥OQ,四边形AOQB即是梯形,
②当点P在x轴正半轴上时,点Q在点B的上方,此时,若AQ∥OB,四边形AOQB即是梯形,
综上,P的坐标为(,0)或()。
练习册系列答案
相关习题

科目:初中数学 来源: 题型:

精英家教网如图,在平面直角坐标中,四边形OABC是等腰梯形,CB∥OA,OA=7,AB=4,∠COA=60°,点P为x轴上的一个动点,但是点P不与点0、点A重合.连接CP,D点是线段AB上一点,连接PD.
(1)求点B的坐标;
(2)当∠CPD=∠OAB,且
BD
AB
=
5
8
,求这时点P的坐标.

查看答案和解析>>

科目:初中数学 来源: 题型:

(2012•渝北区一模)如图,在平面直角坐标xoy中,以坐标原点O为圆心,3为半径画圆,从此圆内(包括边界)的所有整数点(横、纵坐标均为整数)中任意选取一个点,其横、纵坐标之和为0的概率是
5
29
5
29

查看答案和解析>>

科目:初中数学 来源: 题型:

如图,在平面直角坐标中,等腰梯形ABCD的下底在x轴上,且B点坐标为(4,0),D点坐标为(0,3),则AC长为
5
5

查看答案和解析>>

科目:初中数学 来源: 题型:

如图,在平面直角坐标xOy中,已知点A(-5,0),P是反比例函数y=
k
x
图象上一点,PA=OA,S△PAO=10,则反比例函数y=
k
x
的解析式为(  )

查看答案和解析>>

科目:初中数学 来源: 题型:

如图,在平面直角坐标中,四边形OABC是等腰梯形,CB∥OA,OC=AB=4,BC=6,∠COA=45°,动点P从点O出发,在梯形OABC的边上运动,路径为O→A→B→C,到达点C时停止.作直线CP.
(1)求梯形OABC的面积;
(2)当直线CP把梯形OABC的面积分成相等的两部分时,求直线CP的解析式;
(3)当△OCP是等腰三角形时,请写出点P的坐标(不要求过程,只需写出结果).

查看答案和解析>>

同步练习册答案