精英家教网 > 初中数学 > 题目详情
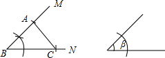
12.已知,线段a,c和∠β(如图),利用直尺和圆规作△ABC,使BC=a,AB=c,∠ABC=∠β(不写作法,保留作图痕迹)

分析 首先作∠MBN=∠β,然后在BN上截取BC=a,在BM上截取BA=c,连接AC,即可作出△ABC.

解答 解:如图:①作∠MBN=∠β,
②在BN上截取BC=a,在BM上截取BA=c,连接AC,
则△ABC即为所求.

点评 此题考查了尺规作图的知识.注意掌握作图的步骤.

练习册系列答案
相关习题

科目:初中数学 来源: 题型:选择题

2.如图,△ABC内接于⊙O,B0的延长线交AC于E,过O作FG⊥AB,交AC于F,交AB于H,交⊙O于G.⊙O的半径为12,且OE:OF:OB=2:3:6,则弧BG的长为(  )
A.4$\sqrt{3}$πB.4$\sqrt{2}$πC.2$\sqrt{3}$πD.

查看答案和解析>>

科目:初中数学 来源: 题型:解答题

3.如图,12根火柴棒排成一个“井”字形,要求移动图中的4根火柴棒,使原图形变成三个相同的正方形,且没有火柴棒剩余(同一根火柴棒只能移动一次),你有什么好办法?试试看,画出移动后的图形,并标明移动前后的火柴棒.

查看答案和解析>>

科目:初中数学 来源: 题型:选择题

20.如图,PA、PB、CD分别切⊙O于点A、B、E,CD分别交PA、PB于点C、D,下列关系:①PA=PB;②∠ACO=∠DCO;③∠BOE和∠BDE互补;④△PCD的周长是线段PB长度的2倍.则其中说法正确的有(  )
A.1个B.2个C.3个D.4个

查看答案和解析>>

科目:初中数学 来源: 题型:选择题

7.如图所示,直角三角形AOB中,AB⊥OB,且AB=OB=3.设直线l:x=t截此三角形所得的阴影部分面积为S,则S与t之间的函数关系的图象为(如选项所示)(  )
A.B.C.D.

查看答案和解析>>

科目:初中数学 来源: 题型:填空题

17.用配方法把二次函数y=2x2+3x+1写成y=a(x+m)2+k的形式y=2(x+$\frac{3}{4}$)2-$\frac{1}{8}$.

查看答案和解析>>

科目:初中数学 来源: 题型:填空题

4.如图,正方形ABCD的边长是4,E是BC的中点,动点P、Q在正方形ABCD的边上运动,且PQ=4.若点P从点A出发,沿A→B→E的线路,向点E运动,相应的,点Q在DA,AB上运动.则点P从A到E的运动过程中,PQ的中点O所经过的路线长等于$\frac{4π}{3}$.

查看答案和解析>>

科目:初中数学 来源: 题型:填空题

1.下列图形都是按照一定规律组成,第一个图形中共有2个三角形,第二个图形中共有8个三角形,第三个图形中共有14个三角形,…,依此规律,第五个图形中三角形的个数是26.

查看答案和解析>>

科目:初中数学 来源: 题型:解答题

2.某商店在四个月的试销期间内,只销售A、B两个品牌的电冰箱,共售了a台,试销结束后,决定只经销其中一个品牌,为作出决定,经销人员正在绘制两幅统计图,如图1和如图2
(1)写出a的值:a=200;
(2)求出第三,第四月份试销的B品牌的台数,补全B品牌电冰箱月销售的折线;
(3)为了跟踪调查电冰箱的使用情况,从该商店第四个月售出的电冰箱中随机抽取一台,求抽到A品牌电冰箱的概率.

查看答案和解析>>

同步练习册答案