精英家教网 > 初中数学 > 题目详情
如图,在平面直角坐标系中,直线与x轴交于点A,与y轴交于点C,抛物线经过A、B、C三点.
(1)试求A、C的坐标,并求过A、B、C两点的抛物线的解析式及其顶点F的坐标;
(2)试说明△ABC为直角三角形.并指出,在抛物线上是否存在异于点C的点P,使△ABP为直角三角形?若存在,直接写出P点坐标;
(3)试探究在直线AC上是否存在一点M,使得△MBF的周长最小?若存在,求出M点的坐标;若不存在,请说明理由.

【答案】分析:(1)抛物线解析式中有两个待定系数a,c,根据直线AC解析式求点A、C坐标,代入抛物线解析式即可;
(2)由抛物线的解析式可求出B点的坐标,根据勾股定理计算AC,BC,再由勾股定理的逆定理证AC2+BC2=AB2,即可说明△ABC为直角三角形;分析不难发现,△ABP的直角顶点只可能是P,根据抛物线的对称性,点C关于抛物线对称轴的对称点也符合题意;
(3)由于B,F是定点,BF的长一定,实际上就是求BM+FM最小,找出点B关于直线AC的对称点B',连接B'F,交AC于点M,点M即为所求,由(2)可知,BC⊥AC,延长BC到B',使BC=B'C,利用中位线的性质可得B'的坐标,从而可求直线B'F的解析式,再与直线AC的解析式联立,可求M点坐标.
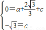
解答:解:(1)∵直线y=-x-x轴交于点A,与y轴交于点C
∴点A(-1,0),C(0,-
∵点A,C都在抛物线上,

∴抛物线的解析式为y=x2-x-
∵y=x2-x-=(x-1)2-
∴顶点F(1,-);
(2)证明:
由(1)可知点A(-1,0),C(0,-),
∴AO=1,OC=-
∴AC=2,
设y=0,则y=x2-x-=0,解得:x=-1或3,
∴B的坐标是(3,0),
∴OB=3,
∴BC===2
∵AC2+BC2=16,AB2=16,
∴AC2+BC2AB2=16,
∴△ABC为直角三角形;
在抛物线上存在异于点C的点P,使△ABP为直角三角形,
理由如下:根据抛物线的对称性,点C关于抛物线对称轴的对称点也符合题意,
∴P点的坐标是(2,-);
(3)延长BC到点B′,使B′C=BC,连接B′F交直线AC于点M,则点M就是所求的点,
∵过点B′作B′H⊥AB于点H,
∵B点在抛物线y=x2-x-
∴B(3,0),
在Rt△BOC中,tan∠OBC=,∴∠OBC=30°,BC=2
在Rt△B′BH中,B′H=BB′=2
BH=B′H=6,∴OH=3,
∴B′(-3,-2),
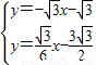
设直线B′F的解析式为y=kx+b,

解得:
∴y=x-
联立
解得:
∴在直线AC上存在点M,使得△MBF的周长最小,此时M(,-).
点评:本题考查了用待定系数法求二次函数以及一次函数的解析式、勾股定理以及逆定理的运用、二次函数和一次函数的交点问题、二次函数的图象和坐标轴的交点问题,同时考查了代数几何的综合运用能力,体现数学知识的内在联系和不可分割的特点.
练习册系列答案
相关习题

科目:初中数学 来源: 题型:

精英家教网如图,在平面直角坐标中,四边形OABC是等腰梯形,CB∥OA,OA=7,AB=4,∠COA=60°,点P为x轴上的一个动点,但是点P不与点0、点A重合.连接CP,D点是线段AB上一点,连接PD.
(1)求点B的坐标;
(2)当∠CPD=∠OAB,且
BD
AB
=
5
8
,求这时点P的坐标.

查看答案和解析>>

科目:初中数学 来源: 题型:

(2012•渝北区一模)如图,在平面直角坐标xoy中,以坐标原点O为圆心,3为半径画圆,从此圆内(包括边界)的所有整数点(横、纵坐标均为整数)中任意选取一个点,其横、纵坐标之和为0的概率是
5
29
5
29

查看答案和解析>>

科目:初中数学 来源: 题型:

如图,在平面直角坐标中,等腰梯形ABCD的下底在x轴上,且B点坐标为(4,0),D点坐标为(0,3),则AC长为
5
5

查看答案和解析>>

科目:初中数学 来源: 题型:

如图,在平面直角坐标xOy中,已知点A(-5,0),P是反比例函数y=
k
x
图象上一点,PA=OA,S△PAO=10,则反比例函数y=
k
x
的解析式为(  )

查看答案和解析>>

科目:初中数学 来源: 题型:

如图,在平面直角坐标中,四边形OABC是等腰梯形,CB∥OA,OC=AB=4,BC=6,∠COA=45°,动点P从点O出发,在梯形OABC的边上运动,路径为O→A→B→C,到达点C时停止.作直线CP.
(1)求梯形OABC的面积;
(2)当直线CP把梯形OABC的面积分成相等的两部分时,求直线CP的解析式;
(3)当△OCP是等腰三角形时,请写出点P的坐标(不要求过程,只需写出结果).

查看答案和解析>>

同步练习册答案