精英家教网 > 初中数学 > 题目详情
16.如图,已知△ABC,按下列语句要求用尺规作图(保留作图痕迹,不写作法);
(1)作出BC的垂直平分线DE,垂足为D,交AC于点E;
(2)作出∠ACB的角平分线CF,交AB于点F;
(3)在BC上找出一点P,使△PEF的周长最小.

分析 (1)利用线段垂直平分线的作法得出BC的垂直平分线即可;
(2)利用角平分线的作法得出即可;
(3)由于△PEF的周长=PF+PE+EF,而EF是定值,故只需在BC上找一点P,使PF+PE最小,作出F关于BC的对称点为F′,连接EF′得出即可.

解答 解:(1)如图所示:DE即为所求;
(2)如图所示:CF即为所求;
(3)如图所示:P点即为所求.

点评 本题考查了角平分线的作法以及线段垂直垂直分线的作法以及轴对称中最短路线问题,解这类问题的关键是把两条线段的和转化为一条线段,运用三角形三边关系解决.

练习册系列答案
相关习题

科目:初中数学 来源: 题型:解答题

6.如图,抛物线y=x2+bx+c与x轴交于A(-1,0)、B(3,0)两点.
(1)求该抛物线的解析式;
(2)设(1)中的抛物线上有一个动点P,当点P在该抛物线上滑动到什么位置时,满足S△PAB=10,并求出此时P点的坐标;
(3)设(1)中的抛物线交y轴交于C点,在该抛物线的对称轴上是否存在点Q,使△QAC的周长最小?若存在,求出Q点的坐标;若不存在,请说明理由.

查看答案和解析>>

科目:初中数学 来源: 题型:解答题

7.解分式方程:
(1)$\frac{80}{x}$=$\frac{70}{x-5}$                      
(2)$\frac{a-3}{{a}^{2}-6a+9}$=$\frac{1}{a-3}$
(3)$\frac{x}{x-2}$+$\frac{1}{2-x}$=2
(4)$\frac{2}{3x-1}$=1+$\frac{3}{6x-2}$                   
(5)$\frac{6}{{x}^{2}-1}$-$\frac{1}{x+1}$=$\frac{3}{x-1}$.

查看答案和解析>>

科目:初中数学 来源: 题型:选择题

4.时钟正常运转时,分针每分钟转动6°,时针每分钟转动0.5°,在运转过程中,时针与分针的夹角为y(度),运转的时间为t(min),当时间从12:00开始到12:30止,y与t之间的函数图象是下列的(  )
A.B.
C.D.

查看答案和解析>>

科目:初中数学 来源: 题型:选择题

11.如图,AD是△ABC的中线,DE是△ADC的高线,AB=3,AC=5,DE=2,那么点D到AB的距离是(  )
A.$\frac{10}{3}$B.$\frac{5}{3}$C.$\frac{6}{5}$D.2

查看答案和解析>>

科目:初中数学 来源: 题型:解答题

1.A、B、C三个微型机器人围绕一个圆形轨道高速运动,它们顺时针同时同地出发后,A在2秒钟时追上B,2.5秒钟时追上C,当C追上B时,C和B的运动路程的比是3:2,问第1分钟时,A围绕这个圆形轨道运动了多少圈?

查看答案和解析>>

科目:初中数学 来源: 题型:解答题

8.化简:
(1)2x2+1-3x+7-2x2+5x;
(2)-3(2x2-xy)+4(x2+xy-6).

查看答案和解析>>

科目:初中数学 来源: 题型:解答题

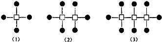
5.下列图形是由一些小正方形和实心圆按一定规律排列而成的,如图所示,按此规律排列下去,第n个图形中实心圆的个数表示为K.

(1)Kn=2(n+1)(用n表示):K100=202
(2)我们在用“☆”定义一种新运算:对于任意有理数a和正整数n.
规定a☆n=$\frac{a-{K}_{n}+|a+{K}_{n}|}{2}$,例如:(-3)☆2=$\frac{-3-{K}_{2}+|-3+{K}_{2}|}{2}$=$\frac{-3-6+|-3+6|}{2}$=-3.
①计算:(-26.6)☆10的值;
②比较:3☆n与(-3)☆n的大小.

查看答案和解析>>

科目:初中数学 来源: 题型:填空题

6.用一生活情景描述2a+3b的实际意义:一个苹果的质量是a,一个桔子的质量是b,那么2个苹果和3个桔子的质量和是2a+3b.

查看答案和解析>>

同步练习册答案