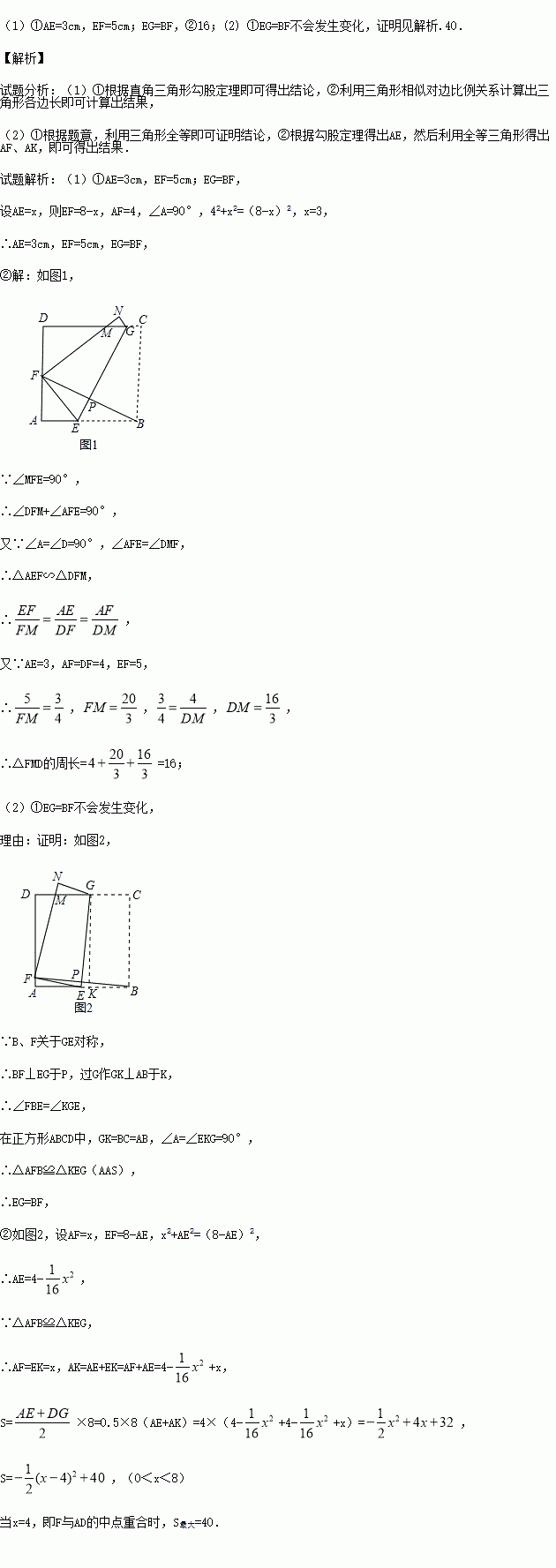
½«±ß³¤Îª8cmµÄÕý·½ÐÎֽƬABCDÑØEGÕÛµþ£¨ÕÛºÛEG·Ö±ðÓëAB¡¢DC½»ÓÚµãE¡¢G£©£¬Ê¹µãBÂäÔÚAD±ßÉϵĵã F´¦£¬FNÓëDC½»ÓÚµãM£¬Á¬½ÓBFÓëEG½»ÓÚµãP£®
![]()
£¨1£©µ±µãFÓëADµÄÖеãÖØºÏʱ£¨Èçͼ1£©£º
¢Ù¡÷AEFµÄ±ßAE= cm£¬EF= cm£¬Ïß¶ÎEGÓëBFµÄ´óС¹ØÏµÊÇEG BF£»£¨Ìî¡°£¾¡±¡¢¡°=¡±»ò¡°£¼¡±£©
¢ÚÇó¡÷FDMµÄÖܳ¤£®
£¨2£©µ±µãFÔÚAD±ßÉϳýµãA¡¢DÍâµÄÈÎÒâλÖÃʱ£¨Èçͼ2£©£º
¢ÛÊÔÎʵڣ¨1£©ÌâÖÐÏß¶ÎEGÓëBFµÄ´óС¹ØÏµÊÇ·ñ·¢Éú±ä»¯£¿ÇëÖ¤Ã÷ÄãµÄ½áÂÛ£»
¢Üµ±µãFÔÚºÎλÖÃʱ£¬ËıßÐÎAEGDµÄÃæ»ýS×î´ó£¿×î´óÖµÊǶàÉÙ£¿
| Äê¼¶ | ¸ßÖÐ¿Î³Ì | Äê¼¶ | ³õÖÐ¿Î³Ì |
| ¸ßÒ» | ¸ßÒ»Ãâ·Ñ¿Î³ÌÍÆ¼ö£¡ | ³õÒ» | ³õÒ»Ãâ·Ñ¿Î³ÌÍÆ¼ö£¡ |
| ¸ß¶þ | ¸ß¶þÃâ·Ñ¿Î³ÌÍÆ¼ö£¡ | ³õ¶þ | ³õ¶þÃâ·Ñ¿Î³ÌÍÆ¼ö£¡ |
| ¸ßÈý | ¸ßÈýÃâ·Ñ¿Î³ÌÍÆ¼ö£¡ | ³õÈý | ³õÈýÃâ·Ñ¿Î³ÌÍÆ¼ö£¡ |
¿ÆÄ¿£º³õÖÐÊýѧ À´Ô´£º2014-2015ѧÄêºÓ±±Ê¡Ê¯¼ÒׯÊÐÕÔÏØÖп¼Ò»Ä£ÊýѧÊÔ¾í£¨½âÎö°æ£© ÌâÐÍ£ºÌî¿ÕÌâ
Èçͼ£¬¡÷ABCÖУ¬¡ÏACB=90¡ã£¬AB=8cm£¬DÊÇABµÄÖе㣮ÏÖ½«¡÷BCDÑØBA·½ÏòÆ½ÒÆ1cm£¬µÃµ½¡÷EFG£¬FG½»ACÓÚH£¬ÔòGHµÄ³¤µÈÓÚ cm£®
![]()
²é¿´´ð°¸ºÍ½âÎö>>
¿ÆÄ¿£º³õÖÐÊýѧ À´Ô´£º2014-2015ѧÄêºÓ±±Ê¡Ê¯¼ÒׯÊг¤°²ÇøÖп¼Ä£ÄâÊýѧÊÔ¾í£¨½âÎö°æ£© ÌâÐÍ£ºÑ¡ÔñÌâ
ÏÂÁмÆËãÖУ¬²»ÕýÈ·µÄÊÇ£¨ £©
A£®-2a+3a=a B£®£¨-5xy£©2¡Â5xy=5xy
C£®£¨-2x2y£©3=-6x6y3 D£®3ab2•£¨-a£©=-3a2b2
²é¿´´ð°¸ºÍ½âÎö>>
¿ÆÄ¿£º³õÖÐÊýѧ À´Ô´£º2014-2015ѧÄêºÓ±±Ê¡Ê¯¼ÒׯÊÐÁª¿¼5ÔÂÖп¼Ä£ÄâÊýѧÊÔ¾í£¨½âÎö°æ£© ÌâÐÍ£ºÑ¡ÔñÌâ
Èçͼ£¬ÔÚÉÈÐÎOABÖУ¬¡ÏAOB=90¡ã£¬°ë¾¶OA=2£¬½«ÉÈÐÎOABÑØ¹ýµãBµÄÖ±ÏßÕÛµþ£¬Ê¹µãOÇ¡ºÃÂäÔÚ»¡ABÉϵĵãD´¦£¬ÕÛºÛΪBC£¬ÔòͼÖÐÒõÓ°²¿·ÖµÄÃæ»ýÊÇ£¨ £©
![]()
A£®¦Ð B£®¦Ð-
C£®¦Ð-
D£®¦Ð-![]()
²é¿´´ð°¸ºÍ½âÎö>>
¿ÆÄ¿£º³õÖÐÊýѧ À´Ô´£º2014-2015ѧÄêºÓ±±Ê¡Ê¯¼ÒׯÊÐÁª¿¼5ÔÂÖп¼Ä£ÄâÊýѧÊÔ¾í£¨½âÎö°æ£© ÌâÐÍ£ºÑ¡ÔñÌâ
°Ñ²»µÈʽ
µÄ½â¼¯ÔÚÊýÖáÉϱíʾ³öÀ´£¬ÕýÈ·µÄÊÇ£¨ £©
![]()
²é¿´´ð°¸ºÍ½âÎö>>
¿ÆÄ¿£º³õÖÐÊýѧ À´Ô´£º2014-2015ѧÄêºÓ±±Ê¡ÀÈ·»ÊÐÖп¼¶þÄ£ÊýѧÊÔ¾í£¨½âÎö°æ£© ÌâÐÍ£º½â´ðÌâ
£¨1£©»¯¼ò£º£¨a+3£©£¨a-3£©+a£¨4-a£©
£¨2£©½â²»µÈʽ×飺
£®
²é¿´´ð°¸ºÍ½âÎö>>
¿ÆÄ¿£º³õÖÐÊýѧ À´Ô´£º2014-2015ѧÄêºÓ±±Ê¡ÀÈ·»ÊÐÖп¼¶þÄ£ÊýѧÊÔ¾í£¨½âÎö°æ£© ÌâÐÍ£ºÑ¡ÔñÌâ
Èçͼ£¬Ä³µØÐÞ½¨¸ßËÙ¹«Â·£¬Òª´ÓBµØÏòCµØÐÞÒ»×ùËíµÀ£¨B¡¢CÔÚÍ¬Ò»Ë®Æ½ÃæÉÏ£©£®ÎªÁ˲âÁ¿B¡¢CÁ½µØÖ®¼äµÄ¾àÀ룬ij¹¤³Ìʦ³Ë×øÈÈÆøÇò´ÓCµØ³ö·¢£¬´¹Ö±ÉÏÉý100mµ½´ïA´¦£¬ÔÚA´¦¹Û²ìBµØµÄ¸©½ÇΪ30¡ã£¬ÔòB¡¢CÁ½µØÖ®¼äµÄ¾àÀëΪ£¨ £©
![]()
A£®100
m B£®50
m
C£®50
m D£®
m
²é¿´´ð°¸ºÍ½âÎö>>
¿ÆÄ¿£º³õÖÐÊýѧ À´Ô´£º2014-2015ѧÄêºÓ±±Ê¡ºªµ¦ÊÐÖп¼Ä£ÄâÊýѧÊÔ¾í£¨½âÎö°æ£© ÌâÐÍ£º½â´ðÌâ
ÔĶÁ²ÄÁÏ£ºÈçͼ1£¬¡÷ABCµÄÖܳ¤Îªl£¬Ãæ»ýΪS£¬ÄÚÇÐÔ²OµÄ°ë¾¶Îªr£¬Ì½¾¿rÓëS¡¢lÖ®¼äµÄ¹ØÏµ£®
![]()
Á¬½ÓOA£¬OB£¬OC
¡ßS=S¡÷OAB+S¡÷OBC+S¡÷OCA
ÓÖ¡ß
£¬
£¬![]()
¡à![]()
¡à![]()
½â¾öÎÊÌ⣺
£¨1£©ÀûÓÃ̽¾¿µÄ½áÂÛ£¬¼ÆËã±ß³¤·Ö±ðΪ5£¬12£¬13µÄÈý½ÇÐÎÄÚÇÐÔ²°ë¾¶£»
£¨2£©ÈôËıßÐÎABCD´æÔÚÄÚÇÐÔ²£¨Óë¸÷±ß¶¼ÏàÇеÄÔ²£©£¬Èçͼ2ÇÒÃæ»ýΪS£¬¸÷±ß³¤·Ö±ðΪa£¬b£¬c£¬d£¬ÊÔÍÆµ¼ËıßÐεÄÄÚÇÐÔ²°ë¾¶¹«Ê½£»
£¨3£©ÈôÒ»¸ön±ßÐΣ¨nΪ²»Ð¡ÓÚ3µÄÕûÊý£©´æÔÚÄÚÇÐÔ²£¬ÇÒÃæ»ýΪS£¬¸÷±ß³¤·Ö±ðΪa1£¬a2£¬a3£¬¡£¬an£¬ºÏÀí²ÂÏëÆäÄÚÇÐÔ²°ë¾¶¹«Ê½£¨²»Ðè˵Ã÷ÀíÓÉ£©£®
²é¿´´ð°¸ºÍ½âÎö>>
¿ÆÄ¿£º³õÖÐÊýѧ À´Ô´£º2014-2015ѧÄêºÓ±±Ê¡ºªµ¦ÊÐÉæÏØ3ÔÂÖп¼Ä£ÄâÊýѧÊÔ¾í£¨½âÎö°æ£© ÌâÐÍ£ºÑ¡ÔñÌâ
Èçͼ£¬ÔÚ¡÷ABCÖУ¬¡ÏC=90¡ã£¬ABµÄ´¹Ö±Æ½·ÖÏß½»ABÓëD£¬½»BCÓÚE£¬Á¬½ÓAE£¬ÈôCE=5£¬AC=12£¬ÔòBEµÄ³¤ÊÇ£¨ £©
![]()
A£®13 B£®10 C£®12 D£®5
²é¿´´ð°¸ºÍ½âÎö>>
¹ú¼ÊѧУÓÅÑ¡ - Á·Ï°²áÁбí - ÊÔÌâÁбí
ºþ±±Ê¡»¥ÁªÍøÎ¥·¨ºÍ²»Á¼ÐÅÏ¢¾Ù±¨Æ½Ì¨ | ÍøÉÏÓк¦ÐÅÏ¢¾Ù±¨×¨Çø | µçÐÅթƾٱ¨×¨Çø | ÉæÀúÊ·ÐéÎÞÖ÷ÒåÓк¦ÐÅÏ¢¾Ù±¨×¨Çø | ÉæÆóÇÖȨ¾Ù±¨×¨Çø
Î¥·¨ºÍ²»Á¼ÐÅÏ¢¾Ù±¨µç»°£º027-86699610 ¾Ù±¨ÓÊÏ䣺58377363@163.com