精英家教网 > 初中数学 > 题目详情
19.如图,已知E是正方形ABCD中CD上一点,延长BC到点F,使得BF=DE.
(1)求证:△ABF≌△ADE;
(2)将△ADE以点A为中心,顺时针旋转90度得到△ABF.

分析 (1)根据SAS定理,即可证明两三角形相似;
(2)将△ADE顺时针旋转后与△ABF重合,A不变,因而旋转中心是A,∠DAB是旋转角,是90度.

解答 解:(1)∵四边形ABCD是正方形,
∴AD=AB,∠D=∠ABC=90°,
∴∠ABF=∠D=90°,
在△ABF与△ADE中,
$\left\{\begin{array}{l}{AB=AD}\\{∠ABF=∠D}\\{BF=DE}\end{array}\right.$,
∴△ABF≌△ADE;

(2)将△ADE以点A为中心,顺时针旋转90度得到△ABF.
故答案为:A.90°.

点评 本题主要考查了三角形全等的判定方法,以及旋转的定义,正确理解旋转的定义是解决本题的关键.

练习册系列答案
相关习题

科目:初中数学 来源: 题型:选择题

18.如图,在△ABC中,∠A=50°,∠C=70°,则外角∠ABD的度数是(  )
A.110°B.120°C.130°D.140°

查看答案和解析>>

科目:初中数学 来源: 题型:选择题

19.关于x的不等式组$\left\{\begin{array}{l}x>a\\ x>1\end{array}\right.$的解集为x>1,则a的取值范围是(  )
A.a>1B.a<1C.a≥1D.a≤1

查看答案和解析>>

科目:初中数学 来源: 题型:填空题

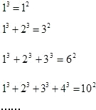
7.观察右边文本框中的各式:
猜想13+23+33+…+103=552

查看答案和解析>>

科目:初中数学 来源: 题型:填空题

14.如图,在△ABC中,AB=6,BC=8,∠ACB=30°,将△ABC绕点B按逆时针方向旋转,得到△A1BC1.点E为线段AB中点,点P是线段AC上的动点,在△ABC绕点B按逆时针方向旋转的过程中,点P的对应点是点P1,则线段EP1长度的最小值为1.

查看答案和解析>>

科目:初中数学 来源: 题型:选择题

4.某单位3月上旬中的1至6日每天用水量的变化如图所示,那么这6天用水量的中位数是(  )
A.31.5B.32C.32.5D.33

查看答案和解析>>

科目:初中数学 来源: 题型:解答题

11.计算:$\sqrt{4}$×(π-2012)0+$\sqrt{2}$sin45°-($\frac{1}{2}$)-1

查看答案和解析>>

科目:初中数学 来源: 题型:解答题

8.(1)解方程:$\frac{1}{x}$=$\frac{x}{3x-2}$
(2)计算:2+(-1)2010+($\sqrt{2}$+1)($\sqrt{2}$-1)-|-3×$\frac{1}{3}$|

查看答案和解析>>

科目:初中数学 来源: 题型:选择题

9.5月9日,邓紫棋演唱会在重庆国际博览中心举办,小王从家出发乘坐出租车前往观看,演出结束后,小王搭乘邻居小周的车回到家.己知小王出发时的速度比回家时的速度快,其中x表示小王从家出发后所用时间,y表示小王离家的距离.下面能反映y与x的函数关系的大致图象是(  )
A.B.C.D.

查看答案和解析>>

同步练习册答案