精英家教网 > 初中数学 > 题目详情

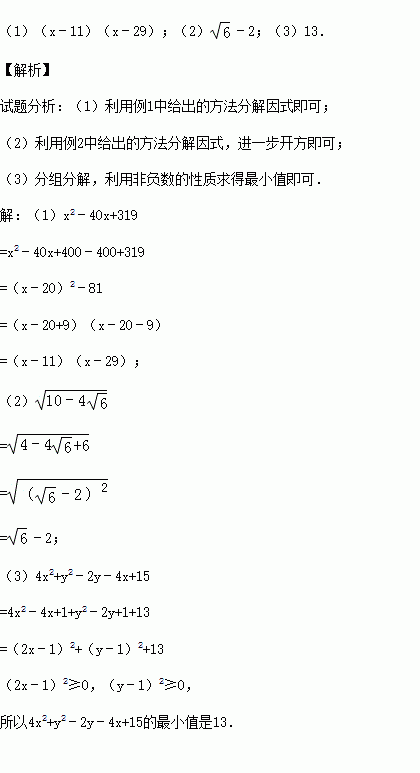
(2014秋•香洲区期末)所谓配方,就是把一个多项式经过适当变形配成完全平方式.配方法除一元二次方程求根公式推导这一典型应用外,在因式分解、化简二次根式、证明恒等式、解方程、求代数式最值等问题中都有广泛应用.是一种很重要、很基本的数学方法.如以下例1,例2:

例1:分解因式 x2﹣120x+3456

【解析】
原式=x2﹣120x+3600+3456﹣3600

=(x﹣60)2﹣144

=(x﹣60+12)(x﹣60﹣12)

=(x﹣48)(x﹣72)

例2:化简:

【解析】
原式=

=

=

阅读以上材料,请问答以下问题:

(1)分解因式:x2﹣40x+319=

(2)化简:

(3)利用配方法求4x2+y2﹣2y﹣4x+15的最小值.

练习册系列答案
相关习题

科目:初中数学 来源:2016届湖南省郴州市九年级上学期期末数学试卷(解析版) 题型:计算题

(2015秋•郴州期末)计算:2cos30°+tan45°﹣4sin260°.

查看答案和解析>>

科目:初中数学 来源:2016届湖北省襄阳市宜城市九年级上学期期末数学试卷(解析版) 题型:选择题

(2015•兰州)一元二次方程x2﹣8x﹣1=0配方后可变形为( )

A.(x+4)2=17 B.(x+4)2=15

C.(x﹣4)2=17 D.(x﹣4)2=15

查看答案和解析>>

科目:初中数学 来源:2016届湖北省随州市随县九年级上学期期末数学试卷(解析版) 题型:选择题

(2015秋•随州期末)已知二次函数y=ax2+bx+c+2的图象如图所示,顶点为(﹣1,0),下列结论:①abc>0;②b2﹣4ac=0;③a>2;④方程ax2+bc+c=﹣2的根为x1=x2=﹣1;⑤若点B(﹣,y1),C(﹣,y2)为函数图象上的两点,则y2<y1,其中正确的个数是( )

A.2 B.3 C.4 D.5

查看答案和解析>>

科目:初中数学 来源:2016届湖北省随州市随县九年级上学期期末数学试卷(解析版) 题型:选择题

(2015秋•随州期末)下列说法正确的是( )

A.“打开电视任选一频道,播放动画片”是必然事件

B.“任意画出一个正六边形,它的中心角是60°”是必然事件

C.“旋转前、后的图形全等”是随机事件

D.任意掷一枚质地均匀的硬币10次正面朝上的一定是5次

查看答案和解析>>

科目:初中数学 来源:2014-2015学年广东省珠海市香洲区九年级上学期期末数学试卷(解析版) 题型:解答题

(2014秋•香洲区期末)如图,抛物线y=(x﹣1)2﹣1与双曲线y=交于点A(﹣1,m).

(1)求k与m的值;

(2)写出点A关于抛物线y=(x﹣1)2﹣1的对称轴的对称点坐标

查看答案和解析>>

科目:初中数学 来源:2014-2015学年广东省珠海市香洲区九年级上学期期末数学试卷(解析版) 题型:填空题

(2014秋•香洲区期末)在反比例函数的图象的每一支上,y都随x的增大而减少,则k的取值范围为

查看答案和解析>>

科目:初中数学 来源:2015-2016学年山西省吕梁市孝义市七年级上学期期末数学试卷(解析版) 题型:填空题

(2015秋•孝义市期末)已知线段AB=10cm,直线AB上有一点C,BC=4cm,则线段AC= cm.

查看答案和解析>>

科目:初中数学 来源:2015-2016学年山东省泰安市岱岳区七年级上学期期末数学试卷(解析版) 题型:填空题

(2015秋•岱岳区期末)下列图形都是有几个黑色和白色的正方形按一定规律组成,图①中有2个黑色正方形,图②中有5个黑色正方形,图③中有8个黑色正方形,图④中有11个黑色正方形,…,按此规律,第n个图中黑色正方形的个数是

查看答案和解析>>

同步练习册答案