精英家教网 > 初中数学 > 题目详情

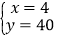
【题目】甲、乙两个工程队分别同时开挖两段河渠,所挖河渠的长度y(m)与挖掘时间x(h)之间的关系如图所示.根据图象所提供的信息有:①甲队挖掘30m时,用了3h;②挖掘6h时甲队比乙队多挖了10m;③乙队的挖掘速度总是小于甲队;④开挖后甲、乙两队所挖河渠长度相等时,x=4.其中一定正确的有(  )

A. 1个 B. 2个 C. 3个 D. 4个

【答案】C

【解析】分析: 根据函数图象可以判断题目中的各个小题是否正确,从而可以解答本题.

详解: 由图象可得,

甲队挖掘30m,用的时间为:30÷(60÷6)=3h,故①正确,

挖掘6h时甲队比乙队多挖了:6050=10m,故②正确,

前两个小时乙队挖得快,在2小时到6小时之间,甲队挖的快,故③错误,

时,甲对应的函数解析式为y=kx

60=6k,得k=10,

时,甲对应的函数解析式为y=10x

时,乙对应的函数解析式为y=ax+b

,

时,乙对应的函数解析式为y=5x+20,

,

即开挖后甲、乙两队所挖河渠长度相等时,x=4,故④正确,

由上可得,一定正确的是①②④

故选C.

练习册系列答案
相关习题

科目:初中数学 来源: 题型:

【题目】已知二次函数y=ax2(a≠0)与一次函数y=kx﹣2的图象相交于A、B两点,如图所示,其中A(﹣1,﹣1),求OAB的面积.

查看答案和解析>>

科目:初中数学 来源: 题型:

【题目】如图,下列说法中不正确的是(  )

A. 1与∠AOB是同一个角B. AOC也可以用∠O表示

C. β=∠BOCD. 图中有三个角

查看答案和解析>>

科目:初中数学 来源: 题型:

【题目】某校为奖励学习之星,准备在某商店购买AB两种文具作为奖品,已知一件A种文具的价格比一件B种文具的价格便宜5元,且用600元买A种文具的件数是用400元买B种文具的件数的2倍.

1)求一件A种文具的价格;

2)根据需要,该校准备在该商店购买AB两种文具共150件.

①求购买AB两种文具所需经费W与购买A种文具的件数a之间的函数关系式;

②若购买A种文具的件数不多于B种文具件数的2倍,且计划经费不超过2750元,求有几种购买方案,并找出经费最少的方案,及最少需要多少元?

查看答案和解析>>

科目:初中数学 来源: 题型:

【题目】如图,将八个边长为1的小正方形摆放在平面直角坐标系中,若过原点的直线l将图形分成面积相等的两部分,则将直线l向右平移3个单位长度后所得直线l′的函数解析式为_____

查看答案和解析>>

科目:初中数学 来源: 题型:

【题目】阅读并解决问题:归纳

人们通过长期观察发现,如果早晨天空中有棉絮状的高积云,那么午后常有雷雨降临,于是有了朝有破絮云,午后雷雨临的谚语.在数学里,我们也常用这样的方法探求规律,例如:三角形有3个顶点,如果在它的内部再画n个点,并以(n+3)个点为顶点,把三角形剪成若干个小三角形,那么最多可以剪得多少个这样的三角形? .为了解决这个问题,我们可以从n=1n=2nr=3 等具体的、简单的情形入手,探索最多可以剪得的三角形个数的变化规律.

(1)完成表格信息:________________;

(2)通过观察、比较,可以发现:三角形内的点每增加1个,最多可以剪得的三角形增加_________.于是,我们可以猜想:当三角形内的点的个数为n时,最多可以剪得____________个三角形.像这样通过对现象的观察、分析,从特殊到-般地探索这类现象的规律、提出猜想的思想方法称为归纳.在日常生活中,人们互相交谈时,常常有人在列举了一些现象后,说(即列举的现象)说明....其实这就是运用了归纳的方法.用归纳的方法得出的结论不一定正确,是否正确需要加以证实.

(3)请你借助表格尝试用归纳的方法探索: 1+3+5+7+......+(2n-1)的和是多少?并加以证实.

查看答案和解析>>

科目:初中数学 来源: 题型:

【题目】(9)已知:ABCD的两边ABAD的长是关于x的方程的两个实数根.

1)当m为何值时,四边形ABCD是菱形?求出这时菱形的边长;

2)若AB的长为2,那么ABCD的周长是多少?

查看答案和解析>>

科目:初中数学 来源: 题型:

【题目】某区教研部门对本区初二年级的学生进行了一次随机抽样问卷调查,其中有这样一个问题:老师在课堂上放手让学生提问和表达( )

A.从不 B.很少 C.有时 D.常常 E.总是

答题的学生在这五个选项中只能选择一项.下面是根据学生对该问题的答卷情况绘制的两幅不完整的统计图.

根据以上信息,解答下列问题:

(1)该区共有 名初二年级的学生参加了本次问卷调查;

(2)请把这幅条形统计图补充完整;

(3)在扇形统计图中,“总是”的圆心角为 .(精确到度)

查看答案和解析>>

科目:初中数学 来源: 题型:

【题目】从谢家集到田家庵有3路,121路,26路三条不同的公交线路.为了解早高峰期间这三条线路上的公交车从谢家集到田家庵的用时时间,在每条线路上随机选取了450个班次的公交车,收集了这些班次的公交车用时(单位:分钟)的数据,统计如下:早高峰期间,乘坐______(填“3路”,“121路”或“26路”)线路上的公交车,从谢家集到田家庵“用时不超过50分钟”的可能性最大.

用时

合计(频次)

线路

3

260

167

23

450

121

160

166

124

450

26

50

122

278

450

查看答案和解析>>

同步练习册答案