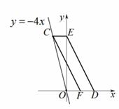
ÔÚÆ½ÃæÖ±½Ç×ø±êϵÖУ¬¶¨ÒåÖ±ÏßΪÅ×ÎïÏßµÄÌØÕ÷Ö±Ïߣ¬

C ΪÆäÌØÕ÷µã£®ÉèÅ×ÎïÏßÓëÆäÌØÕ÷Ö±Ïß½»ÓÚA¡¢BÁ½µã£¨µãAÔÚµãB

µÄ×ó²à£©£®

  £¨1£©µ±µãAµÄ×ø±êΪ£¨0£¬0£©£¬µãBµÄ×ø±êΪ£¨1£¬3£©Ê±£¬ÌØÕ÷µãCµÄ×ø±êΪ         £»

  £¨2£©ÈôÅ×ÎïÏßÈçͼËùʾ£¬ÇëÔÚËù¸øÍ¼Öбê³öµãA¡¢µãBµÄλÖã»

£¨3£©ÉèÅ×ÎïÏߵĶԳÆÖáÓëxÖá½»ÓÚµãD£¬ÆäÌØÕ÷Ö±Ïß½»yÖáÓÚµãE£¬µãFµÄ×ø

±êΪ£¨1,0£©£¬DE¡ÎCF.

    ¢ÙÈôÌØÕ÷µãCΪֱÏßÉÏÒ»µã£¬ÇóµãD¼°µãCµÄ×ø±ê£»

¢ÚÈô£¬ÔòbµÄȡֵ·¶Î§ÊÇ                        .


½â£º£¨1£©£¨3£¬0£©£»  ¡­¡­¡­¡­¡­¡­¡­¡­1·Ö

£¨2£©µã¡¢µãµÄλÖÃÈçͼËùʾ£»¡­¡­¡­¡­¡­¡­¡­¡­¡­¡­3·Ö

£¨3£©¢ÙÈçͼ£¬¡ßÌØÕ÷µãCΪֱÏßÉÏÒ»µã£¬

    ¡à.

    ¡ßÅ×ÎïÏߵĶԳÆÖáÓëxÖá½»ÓÚµãD£¬

¡à¶Ô³ÆÖá.

¡àµãDµÄ×ø±êΪ.  ¡­¡­¡­¡­¡­¡­¡­¡­¡­¡­¡­4·Ö

    ¡ßµãFµÄ×ø±êΪ£¨1,0£©£¬

¡à.

¡ßÌØÕ÷Ö±Ïßy=ax+b½»yÖáÓÚµãE£¬

¡àµãEµÄ×ø±êΪ.

¡ßµãCµÄ×ø±êΪ£¬

¡àCE¡ÎDF.

¡ßDE¡ÎCF£¬

¡àËıßÐÎDECFΪƽÐÐËıßÐÎ.

    ¡à.¡­¡­¡­¡­¡­¡­¡­¡­¡­¡­¡­¡­5·Ö

¡à.

¡àÌØÕ÷µãCµÄ×ø±êΪ.  ¡­¡­¡­¡­¡­¡­¡­¡­¡­¡­¡­¡­6·Ö

¢Ú»ò.

Á·Ï°²áϵÁдð°¸
Ïà¹ØÏ°Ìâ

¿ÆÄ¿£º³õÖÐÊýѧ À´Ô´£º ÌâÐÍ£º


£®Ò»¸öµÈÑüÈý½ÇÐÎÓÐÁ½Ìõ±ß³¤·Ö±ðΪ5ºÍ8£¬ÔòËüµÄÖܳ¤ÊÇ                .

²é¿´´ð°¸ºÍ½âÎö>>

¿ÆÄ¿£º³õÖÐÊýѧ À´Ô´£º ÌâÐÍ£º


ijÊе绰²¦ºÅÉÏÍøÓÐÁ½ÖÖÊÕ·Ñ·½Ê½£¬Óû§¿ÉÒÔÈÎÑ¡ÆäÒ»£ºA¡¢¼ÆÊ±ÖÆ£º0.05Ôª/·ÖÖÓ£»B¡¢ÔÂ×âÖÆ£º50Ôª/Ô£¨ÏÞÒ»²¿¸öÈËסլµç»°ÉÏÍø£©£®´ËÍ⣬ÿÖÖÉÏÍø·½Ê½¶¼µÃ¼ÓÊÕͨÐÅ·Ñ0.02Ôª/·ÖÖÓ£®

£¨1£©Ð¡Áá˵£ºÁ½ÖּƷѷ½Ê½µÄÊշѶÔËýÀ´ËµÊÇÒ»ÑùµÄ£®Ð¡ÁáÿÔÂÉÏÍø¶àÉÙСʱ£¿

£¨2£©Ä³Óû§¹À¼ÆÒ»¸öÔÂÄÚÉÏÍøµÄʱ¼äΪ65Сʱ£¬ÄãÈÏΪ²ÉÓÃÄÄÖÖ·½Ê½½ÏΪºÏË㣿Ϊʲô£¿

²é¿´´ð°¸ºÍ½âÎö>>

¿ÆÄ¿£º³õÖÐÊýѧ À´Ô´£º ÌâÐÍ£º


¼ÆË㣺£®

²é¿´´ð°¸ºÍ½âÎö>>

¿ÆÄ¿£º³õÖÐÊýѧ À´Ô´£º ÌâÐÍ£º


Èçͼ£¬ÔÚÆ½ÃæÖ±½Ç×ø±êϵÖУ¬Ë«ÇúÏßÓëÖ±Ïß

½»ÓÚµãA£¨3£¬1£©£®

£¨1£©ÇóÖ±ÏߺÍË«ÇúÏߵĽâÎöʽ£»

£¨2£©Ö±ÏßÓëxÖá½»ÓÚµãB£¬µãPÊÇË«ÇúÏß ÉÏÒ»µã£¬¹ýµãP×÷Ö±ÏßPC¡ÎxÖᣬ½»yÖáÓÚµãC£¬½»Ö±ÏßÓÚµãD£®ÈôDC=2OB£¬Ö±½Óд³öµãµÄ×ø±êΪ

²é¿´´ð°¸ºÍ½âÎö>>

¿ÆÄ¿£º³õÖÐÊýѧ À´Ô´£º ÌâÐÍ£º


ÏÂÁÐ˵·¨ÖÐÕýÈ·µÄÊÇ£¨   £©

A£®ËùÓеĵÈÑüÈý½ÇÐζ¼ÏàËÆ  B£®ËùÓеÄÁâÐζ¼ÏàËÆ

C£®ËùÓеľØÐζ¼ÏàËÆ      D£®ËùÓеĵÈÑüÖ±½ÇÈý½ÇÐζ¼ÏàËÆ

²é¿´´ð°¸ºÍ½âÎö>>

¿ÆÄ¿£º³õÖÐÊýѧ À´Ô´£º ÌâÐÍ£º


ÔÚABCÖÐ,¡ÏC=900£¬Èôa=4,b=3£¬ÔòsinA=____________.

²é¿´´ð°¸ºÍ½âÎö>>

¿ÆÄ¿£º³õÖÐÊýѧ À´Ô´£º ÌâÐÍ£º


Èçͼ£¬ÔÚËıßÐÎABCDÖУ¬AB¡ÎCD£¬AB£½7£¬CD£½1£¬AD£½BC£½5£®µãM¡¢N·Ö±ðÔÚ±ßAD¡¢BCÉÏÔ˶¯£¬²¢±£³ÖMN¡ÎAB£¬ME¡ÍAB£¬NF¡ÍAB£¬´¹×ã·Ö±ðΪE¡¢F£®

£¨1£©ÇóÌÝÐÎABCDµÄÃæ»ý£»

£¨2£©ÉèAE£½x,Óú¬xµÄ´úÊýʽ±íʾËıßÐÎMEFNµÄÃæ»ý£®

£¨3£©ÊÔÅжÏËıßÐÎMEFNÄÜ·ñΪÕý·½ÐΣ¬ÈôÄÜ£¬Çó³öÕý·½

ÐÎMEFNµÄÃæ»ý£»Èô²»ÄÜ£¬Çë˵Ã÷ÀíÓÉ£®

²é¿´´ð°¸ºÍ½âÎö>>

¿ÆÄ¿£º³õÖÐÊýѧ À´Ô´£º ÌâÐÍ£º


д³öÒ»¸öÅ×ÎïÏß¿ª¿ÚÏòÉÏ£¬ÓëyÖá½»ÓÚ£¨0£¬2£©µãµÄº¯Êý±í´ïʽ         .

²é¿´´ð°¸ºÍ½âÎö>>

ͬ²½Á·Ï°²á´ð°¸