精英家教网 > 初中数学 > 题目详情

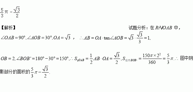
如图,Rt△OA1B1是由Rt△OAB绕点O顺时针方向旋转得到的,且A、O、B1三点共线.如果∠OAB=90°,∠AOB=30°,OA=.则图中阴影部分的面积为___________.

练习册系列答案
相关习题

科目:初中数学 来源: 题型:填空题

9.已知实数x,y满足|x-8|+$\sqrt{{y}^{2}-10y+25}$=0,则以x,y的值为两边长的等腰三角形的周长是18或21.

查看答案和解析>>

科目:初中数学 来源:2016-2017学年江苏省南通市七年级3月月考数学试卷(解析版) 题型:解答题

计算: (1) | | + ||- | |

(2) +

查看答案和解析>>

科目:初中数学 来源:2016-2017学年江苏省南通市七年级3月月考数学试卷(解析版) 题型:单选题

如图,P为直线l外一点,A、B、C在l上,且PB⊥l,下列说法中,正确的个数是( )

①PA、PB、PC三条线段中,PB最短

②线段PB的长叫做点P到直线l的距离

③线段AB是点A到PB的距离

④线段AC的长是点A到PC的距离

A. 1个 B. 2个 C. 3个 D. 4个

查看答案和解析>>

科目:初中数学 来源:2016-2017学年四川达县万家中学下学期九年级第一次月考数学试卷(解析版) 题型:解答题

如图,在网格图中建立平面直角坐标系, 的顶点坐标为

(1)若将向右平移3个单位长度,再向上平移1个单位长度,请画出平移后的

(2)画出绕C1顺时针方向旋转900后得到的

(3)是中心对称图形,请写出对称中心的坐标: ;并计算的面积: .

(4)在坐标轴上是否存在P点,使得△PAB与△CAB的面积相等,若有,则求出点P的坐标.

查看答案和解析>>

科目:初中数学 来源:2016-2017学年四川达县万家中学下学期九年级第一次月考数学试卷(解析版) 题型:选择题

如图,在三角形纸片中,,在上取一点,以为折痕,使的一部分与重合,延长线上的点重合,则的长度为

A. B.6 C. D.3

查看答案和解析>>

科目:初中数学 来源:2016-2017学年四川达县万家中学下学期九年级第一次月考数学试卷(解析版) 题型:单选题

在“百度”搜索引擎中输入“初中数学教育”,能搜索到与之相关的网页约为8 680 000个,将这个数用科学记数法表示为( )

A. B. C. D.

查看答案和解析>>

科目:初中数学 来源:2016-2017学年江苏省八年级下学期第一次月考数学试卷(解析版) 题型:填空题

在平行四边形ABCD中,∠BAD的平分线AE交BC于点E,且BE=3,若平行四边形ABCD的周长是16,则EC等于____________.

查看答案和解析>>

科目:初中数学 来源: 题型:解答题

15.(1)计算:(-$\frac{1}{2}$)-2+|1-$\sqrt{3}$|-$\frac{16}{\sqrt{32}}$×(3.14-π)0
(2)化简:(1+$\frac{1}{{x}^{2}-1}$)÷(x-$\frac{x}{x+1}$)

查看答案和解析>>

同步练习册答案