精英家教网 > 初中数学 > 题目详情

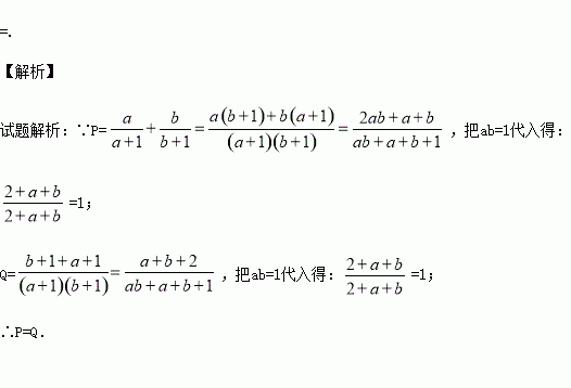
a、b为实数,且ab=1,设P=,则P Q(填“>”、“<”或“=”).

练习册系列答案
相关习题

科目:初中数学 来源:2016届江苏省扬州市九年级下一模数学试卷(解析版) 题型:选择题

如图,已知AB是⊙的直径,点C,D在⊙上,∠ABC=50°,则∠D为

A.50° B.45° C.40° D. 30°

查看答案和解析>>

科目:初中数学 来源:2016届江苏省江阴市长泾片九年级下学期期中数学试卷(解析版) 题型:填空题

如图,已知平面直角坐标系中,直线y=kx(k≠0)经过点(a,a)(a>0).线段BC的两个端点分别在x轴与直线y=kx上(B、C均与原点O不重合)滑动,且BC=2,分别作BP⊥x轴,CP⊥直线y=kx,交点为P,经探究在整个滑动过程中,P、O两点间的距离为定值

查看答案和解析>>

科目:初中数学 来源:2016届江苏省江阴市长泾片九年级下学期期中数学试卷(解析版) 题型:选择题

-的相反数是( )

A.- B. C.2015 D.-2015

查看答案和解析>>

科目:初中数学 来源:2015-2016学年江苏无锡南闸实验学校八年级下第一次月考数学试卷(解析版) 题型:解答题

先化简,再求值:,其中x是不等式3x+7>1的负整数解.

查看答案和解析>>

科目:初中数学 来源:2015-2016学年江苏无锡南闸实验学校八年级下第一次月考数学试卷(解析版) 题型:填空题

若分式的值为零,则x=

查看答案和解析>>

科目:初中数学 来源:2015-2016学年江苏无锡南闸实验学校八年级下第一次月考数学试卷(解析版) 题型:选择题

如图,在Rt△ABC中,∠BAC=90°,∠B=60°,△AB′C′可以由△ABC绕点A顺时针旋转90°得到(点B′与点B是对应点,点C′与点C是对应点),连接CC′,则∠CC′B′的度数是( )

A.45° B.30° C.25° D.15°

查看答案和解析>>

科目:初中数学 来源:2016届天津市津南区东片学区九年级下期中数学试卷(解析版) 题型:选择题

甲、乙两人沿相同的路线由A地到B地匀速前进,A、B两地间的路程为20km.他们前进的路程为s(km),甲出发后的时间为t(h),甲、乙前进的路程与时间的函数图象如图所示.根据图象信息,下列说法正确的是( )

A.甲的速度是4km/h B.乙的速度是10km/h

C.乙比甲晚出发1h D.甲比乙晚到B地3h

查看答案和解析>>

科目:初中数学 来源:2016届四川省自贡市六校中考二模数学试卷(解析版) 题型:解答题

手机给人们的生活带来了很多的方便,但也出现了过度使用手机的现象,出现了所谓的“手机控”、“低头族”等,某校九年级数学兴趣小组的同学调查了若干名家长对“初中学生带手机上学”这一现象的看法,统计整理并制作了如下的条形与扇形统计图.依据图中信息,解答下列问题:

(1)本次调查的学生家长有 名,“很赞同”初中生带手机上学的家长所对应的圆心角度数是

(2)请补全报“无所谓”态度的家长所对应的条形统计图(标上柱高数值);

(3)请你对初中生是否应该带手机上学提出一个合理化的建议.

查看答案和解析>>

同步练习册答案