精英家教网 > 初中数学 > 题目详情

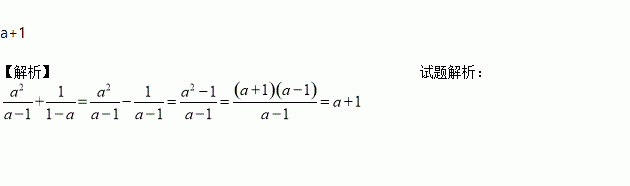
计算: =___________

练习册系列答案
相关习题

科目:初中数学 来源: 题型:解答题

12.据报道,某市受台风影响,10月6日的水位是2.83米,由于种种原因,水位一度超过警戒线.
表是该地区10月7日至12日的水位变化情况(单位:m):
日   期789101112
水位记录+1.41+0.09-0.04+0.09-0.45-0.75
注:规定水位比前一天上升用“+”,比前一天下降用“-”,不升不降用“0”.
(1)填空:该地区这6天内水位最高的一天是10月10日,实际水位是4.38米;
(2)与10月6日相比,10月12日该地区水位是上升了,还是下降了?变化了多少?
(3)10月6日至10月12日的平均水位是多少?

查看答案和解析>>

科目:初中数学 来源: 题型:填空题

13.将一些相同的“○”按如图所示的规律依次摆放,观察每个“龟图”中的“○”的个数,则第10个“龟图”中的“○”的个数为95.

查看答案和解析>>

科目:初中数学 来源:2016-2017学年四川省长宁县双河学区八年级下学期第一次联考数学试卷(解析版) 题型:解答题

(8分)如图,一次函数y1=kx+b(k≠0)和反比例函数y2=(m≠0)的图像交于点A(-1,6)、B(a,-2).

(1)求一次函数与反比例函数的解析式;

(2)根据图像直接写出y1>y2时,x的取值范围.

查看答案和解析>>

科目:初中数学 来源:2016-2017学年四川省长宁县双河学区八年级下学期第一次联考数学试卷(解析版) 题型:填空题

已知等腰三角形的周长为15若底边长为y cm,一腰长为x cm,则 y与x之间的函数关系式为_____________,自变量x的取值范围是____________

查看答案和解析>>

科目:初中数学 来源:2016-2017学年四川省长宁县双河学区八年级下学期第一次联考数学试卷(解析版) 题型:单选题

如图,正方形的边长为4,P为正方形边上一动点,运动路线是A→D→C→B→A,设P点经过的路程为,以点A、P、D为顶点的三角形的面积是.则下列图象能大致反映的函数关系的是( )

A. B. C. D.

查看答案和解析>>

科目:初中数学 来源:2017届四川省遂宁市九年级上学期期末考试数学试卷(解析版) 题型:解答题

如图,在△ABC中,AB=6cm,BC=12cm,∠B=90°.点P从点A开始沿AB边向点B以1cm/s的速度移动,点Q从点B开始沿BC边向点C以2cm/s的速度移动,如果P,Q分别从A,B同时出发,设移动时间为t(s).

(1)当时,求△PBQ的面积;

(2)当为多少时,四边形APQC的面积最小?最小面积是多少?

(3)当为多少时,△PQB与△ABC相似.

查看答案和解析>>

科目:初中数学 来源:2017届四川省遂宁市九年级上学期期末考试数学试卷(解析版) 题型:单选题

化简: 的结果是( )

A. B.

C. D.

查看答案和解析>>

科目:初中数学 来源: 题型:解答题

19.如图,在?ABCD中,点E是CD的中点,AE的延长线与BC的延长线相交于点F.
(1)求证:△ADE≌△FCE;
(2)连结AC、DF,判断四边形ACFD是什么四边形?说明理由.

查看答案和解析>>

同步练习册答案