精英家教网 > 初中数学 > 题目详情

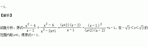
先化简,再求值:(x+1﹣)÷,然后从﹣<x<的范围内选取一个合适的整数作为x的值代入求值.

练习册系列答案
相关习题

科目:初中数学 来源:2016届重庆九龙坡区中考适应性考试数学试卷(解析版) 题型:选择题

如图,正方形ABCD的面积为12,△ABE是等边三角形,点E在正方形ABCD内,在对角线AC上有一点P,使PD+PE最小,则这个最小值为( )

A. B.2 C.2 D.

查看答案和解析>>

科目:初中数学 来源:2016届甘肃白银平川四中中考二模数学试卷(解析版) 题型:解答题

某中学为了全面落实我区实施的“体育、艺术2+1项目”,了解学生最喜欢的球类运动,对足球、乒乓球、篮球、排球四个项目进行了调查,并将调查的结果绘制成如下的两幅统计图(说明:每位同学只选一种自己最喜欢的球类),请你根据图中提供的信息解答下列问题:

(1)求这次接受调查的学生人数,并补全条形统计图;

(2)求扇形统计图中喜欢排球的圆心角度数;

(3)若调查到爱好“乒乓球”的5名学生中有3名男生,2名女生,现从这5名学生中任意抽取2名学生,请用列表法或画树状图的方法,求出刚好抽到一男一女的概率.

查看答案和解析>>

科目:初中数学 来源:2016届甘肃白银平川四中中考二模数学试卷(解析版) 题型:选择题

如图,下列四个几何体中,它们各自的三视图(主视图、左视图、俯视图)有两个相同,而另一个不同的几何体是( )

A.①② B.②③ C.②④ D.③④

查看答案和解析>>

科目:初中数学 来源:2016届河南中考数学押题试卷数学试卷(解析版) 题型:解答题

植树造林不仅可以绿化和美化家园,同时还可以起到扩大山林资源,防止水土流失,保护农田,调节气候,促进经济发展等作用,是一项利国利民、造福子孙后代的宏伟工程,今年3月12日,某校某班计划购进A、B两种树苗共17棵,已知A种树苗每棵的单价比B种树苗每棵的单价多20元.

(1)若购进A种树苗花费了800元,购进B种树苗花费了420元,求A、B两种树苗每棵的单价各是多少元?

(2)若购进A种树苗a棵,所需费用为w,求w与a的函数关系式;

(3)若购进B中树苗的数量少于A种树苗的数量,请你给出一种费用最省的方案,并求出该方案所需的费用.

查看答案和解析>>

科目:初中数学 来源:2016届河南中考数学押题试卷数学试卷(解析版) 题型:填空题

不等式组的所有非负整数解为_______________.

查看答案和解析>>

科目:初中数学 来源:2016届河南中考数学押题试卷数学试卷(解析版) 题型:选择题

若一元二次方程x2+4x﹣2a=0有实数根,则a的取值范围是( )

A.a>2 B.a≥﹣2 C.a≤﹣2 D.a<﹣4

查看答案和解析>>

科目:初中数学 来源:2016届黑龙江大庆五十一中九年级下期中考试数学试卷(解析版) 题型:填空题

写出一个解集为x≥2的一元一次不等式

查看答案和解析>>

科目:初中数学 来源:2016届天津市中考模拟(一)数学试卷(解析版) 题型:填空题

已知女排赛场球网的高度是米,某排球运动员在一次扣球时,球恰好擦网而过,落在对方场地距离球网米的位置上,此时该运动员距离球网米,假设此次排球的运行路线是直线,则该运动员击球的高度是 米.

查看答案和解析>>

同步练习册答案