精英家教网 > 初中数学 > 题目详情

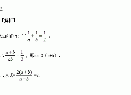
已知,则的值为

练习册系列答案
相关习题

科目:初中数学 来源:2016-2017学年江苏省苏州市高新区八年级下学期期中测试数学试卷(解析版) 题型:单选题

下列图形中,既是轴对称图形又是中心对称图形的是( )

A. B. C. D.

查看答案和解析>>

科目:初中数学 来源:2017届浙江省嵊州市数学试卷《考前磨刀(一)》(解析版) 题型:填空题

已知关于x,y的二元一次方程组的解互为相反数,则k的值是_________.

查看答案和解析>>

科目:初中数学 来源:2016-2017学年江苏省丹阳市八年级下学期期中考试数学试卷(解析版) 题型:解答题

先化简,先化简再求值:,选择一个合适的值代入,求代数式的值.

查看答案和解析>>

科目:初中数学 来源:2016-2017学年江苏省丹阳市八年级下学期期中考试数学试卷(解析版) 题型:单选题

以下问题不适合全面调查的是(  )

A. 调查全国中小学生课外阅读情况 B. 调查某中学在职教师的身体健康状况

C. 调查某班学生每周课前预习的时间 D. 调查某校篮球队员的身高

查看答案和解析>>

科目:初中数学 来源:2016-2017学年江苏省丹阳市八年级下学期期中考试数学试卷(解析版) 题型:填空题

为了解某市参加中考的32000名学生的体重情况,抽查了其中1600名学生的体重进行统计分析,这个问题中的样本是________________________________________.

查看答案和解析>>

科目:初中数学 来源:2016-2017学年江苏省宜兴市八年级下学期期中考试数学试卷(解析版) 题型:解答题

如图,在△ABC中,D、E分别是AB、AC的中点,过点E作EF∥AB,交BC于点F.

(1)求证:四边形DBFE是平行四边形;

(2)当△ABC满足什么条件时,四边形DBFE是菱形?为什么?

查看答案和解析>>

科目:初中数学 来源:2016-2017学年江苏省宜兴市八年级下学期期中考试数学试卷(解析版) 题型:单选题

如图,在方格纸上建立的平面直角坐标系中,将OA绕原点O按顺时针方向旋转180°得到OA′,则点A′的坐标为 (     )

A. ( -3, 1) B. (1, -3) C. (1, 3) D. (3, -1)

查看答案和解析>>

科目:初中数学 来源:2015-2016学年江苏省南通市八年级下学期期中考试数学试卷(解析版) 题型:解答题

如图11,正比例函数的图像与一次函数的图像交于点A(m,2), 一次函数图像经过点B , 与y轴的交点为C与轴的交点为D.

(1)求一次函数解析式;

(2)求C点的坐标;

(3)求△AOD的面积。

查看答案和解析>>

同步练习册答案