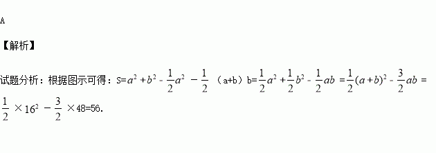
精英家教网 > 初中数学 > 题目详情

如图,两个正方形边长分别为a、b,a+b=16,ab=48,图中阴影部分的面积为( ).

A. 56 B. 72 C. 80 D. 104

练习册系列答案
相关习题

科目:初中数学 来源:2015-2016学年江苏省无锡市八年级3月阶段测试数学试卷(解析版) 题型:选择题

某校决定从三名男生和两名女生中选出两名同学担任校艺术节文艺演出专场的主持人,则选出的恰为一男一女的概率是( )

A. B. C. D.

查看答案和解析>>

科目:初中数学 来源:2015-2016学年江苏泗阳新阳、桃州中学八年级下第一次月考数学试卷(解析版) 题型:填空题

一个扇形统计图中,某部分所对应的圆心角为36°,则该部分占总体的百分比是 .

查看答案和解析>>

科目:初中数学 来源:2015-2016学年江苏省七年级下第一次检测数学试卷(解析版) 题型:解答题

先化简,再求值

(1)、,其中

(2)、,其中

(3)、已知,求的值。

查看答案和解析>>

科目:初中数学 来源:2015-2016学年江苏省七年级下第一次检测数学试卷(解析版) 题型:填空题

一个多边形的每一个内角为108°,则这个多边形是__边形,它的内角和是 .

查看答案和解析>>

科目:初中数学 来源:2015-2016学年江苏省七年级下第一次检测数学试卷(解析版) 题型:选择题

多边形剪去一个角后,多边形的外角和将( )

A. 减少180º B. 不变 C. 增大180º D. 以上都有可能

查看答案和解析>>

科目:初中数学 来源:2015-2016学年江苏省八年级下第一次检测数学试卷(解析版) 题型:解答题

矩形纸片ABCD中,AB=5,AD=4.

(1)如图1,四边形MNEF是在矩形纸片ABCD中裁剪出的一个正方形.你能否在该矩形中裁剪出一个面积最大的正方形,最大面积是 ;(不必说明理由)

(2)请用矩形纸片ABCD剪拼成一个面积最大的正方形.要求:在图2的矩形ABCD中画出裁剪线,并在网格中画出用裁剪出的纸片拼成的正方形示意图(使正方形的顶点都在网格的格点上).

查看答案和解析>>

科目:初中数学 来源:2015-2016学年江苏省八年级下第一次检测数学试卷(解析版) 题型:选择题

函数的图象经过点A(6,-1),则下列点中不在该函数图象上的点是( )

A.(-2,3) B.(-1,-6) C.(1,-6) D.(2,-3)

查看答案和解析>>

科目:初中数学 来源:2016届江苏省九年级下学期中考模拟一数学试卷(解析版) 题型:解答题

先化简(1-)÷,并求当x满x2-6=5x时该代数式的值.

查看答案和解析>>

同步练习册答案