精英家教网 > 高中数学 > 题目详情

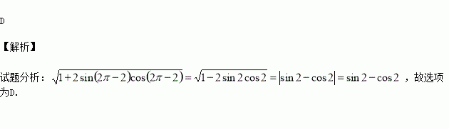
等于( )

A. B.

C. D.

练习册系列答案
相关习题

科目:高中数学 来源:2015-2016山西省高二下期末考试理科数学卷(解析版) 题型:填空题

已知x,y的取值如右表:若线性相关, 且,则 .

x

0

1

3

4

y

2.2

a

4.8

6.7

查看答案和解析>>

科目:高中数学 来源:2017届宁夏高三上学期月考一数学(文)试卷(解析版) 题型:解答题

给出下列四个命题:

①若,且

③函数的一条对称轴是直线

④若则“复数为纯虚数”是“” 必要不充分条件.

其中,所有正确命题的序号是 .

查看答案和解析>>

科目:高中数学 来源:2017届黑龙江双鸭山一中高三上学期质检一数学(文)试卷(解析版) 题型:解答题

已知数列的前项和为,且满足.

(1)证明数列为等差数列;

(2)求.

查看答案和解析>>

科目:高中数学 来源:2017届黑龙江双鸭山一中高三上学期质检一数学(文)试卷(解析版) 题型:填空题

已知等差数列的前项和为,若,且三点共线(为该直线外一点),则=____________.

查看答案和解析>>

科目:高中数学 来源:2017届黑龙江双鸭山一中高三上学期质检一数学(文)试卷(解析版) 题型:选择题

为奇函数,且在内是减函数,,则的解集为( )

A. B.

C. D.

查看答案和解析>>

科目:高中数学 来源:2017届河南濮阳第一高级中学高三上学期检测二数学(文)试卷(解析版) 题型:解答题

已知函数.

(1)若,求函数在[0,1]上的最值;

(2)若函数的递减区间为,试探究函数在区间上的单调性.

查看答案和解析>>

科目:高中数学 来源:2017届河南濮阳第一高级中学高三上学期检测二数学(文)试卷(解析版) 题型:选择题

函数的定义域为( )

A.(0, 1) B.(-1,0) C. D.

查看答案和解析>>

科目:高中数学 来源:2015-2016学年山西省高一下期末考试数学卷(解析版) 题型:选择题

中,若,则的形状是( )

A. 等边三角形 B. 等腰三角形 C. 等腰直角三角形 D. 直角三角形

查看答案和解析>>

同步练习册答案