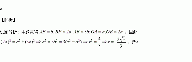
精英家教网 > 高中数学 > 题目详情

是双曲线 的右焦点,过点的一条渐近线引垂线,垂足为,交另一条渐近线于点,若,则的离心率是( )

A. B. C. D.

练习册系列答案
相关习题

科目:高中数学 来源:2015-2016学年山东省高一6月月考数学试卷(解析版) 题型:选择题

已知,若,则实数( )

A. B.2 C. D.-2

查看答案和解析>>

科目:高中数学 来源:2016届安徽省高三下学期冲刺模拟理科数学A卷(解析版) 题型:填空题

已知三角形中,边上的高与边长相等,则的最大值是____________.

查看答案和解析>>

科目:高中数学 来源:2016届安徽省高三下学期冲刺模拟文科数学C卷(解析版) 题型:解答题

选修4-4:坐标系与参数方程

已知曲线,在直角坐标系中,以原点为极点,轴的正半轴为极轴建立极坐标系,已知曲线,过点的值的参数方程为为参数) ,分别交于点.

(1)写出的直角坐标方程和的普通方程;

(2)若成等比数列,求的值.

查看答案和解析>>

科目:高中数学 来源:2016届安徽省高三下学期冲刺模拟文科数学C卷(解析版) 题型:填空题

中,,则

查看答案和解析>>

科目:高中数学 来源:2016届安徽省高三下学期冲刺模拟文科数学C卷(解析版) 题型:选择题

如图,已知,用表示,则( )

A. B.

C. D.

查看答案和解析>>

科目:高中数学 来源:2016届安徽省高三下学期冲刺模拟理科数学C卷(解析版) 题型:解答题

选修4-4:坐标系与参数方程

在平面直角坐标系中,已知直线的参数方程为为参数,),以原点为极点,以轴正半轴建立极坐标系,曲线的极坐标系方程为.

(1)写出直线的极坐标方程和曲线的直角坐标方程;

(2)若直线与曲线相交于两点,求的值.

查看答案和解析>>

科目:高中数学 来源:2016届安徽省高三下学期冲刺模拟理科数学C卷(解析版) 题型:选择题

设函数,若,则的取值范围是( )

A. B.

C. D.

查看答案和解析>>

科目:高中数学 来源:2015-2016学年宁夏六盘山高中高二下第二次月考文数学卷(解析版) 题型:选择题

函数的最小值为 ( )

A.-3 B.3 C.4 D.-4

查看答案和解析>>

同步练习册答案