精英家教网 > 高中数学 > 题目详情

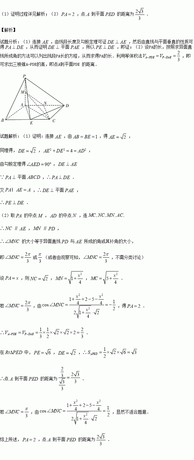
如图,平面,矩形的边长的中点.

(1)证明:

(2)如果异面直线所成的角的大小为,求的长及点到平面的距离.

练习册系列答案
相关习题

科目:高中数学 来源:2016届湖南师范大学附中高三上学期月考三理科数学试卷(解析版) 题型:选择题

设集合,全集,则( )

A. B. C. D.

查看答案和解析>>

科目:高中数学 来源:2015-2016学年山东省济宁市兖州区高一上学期期中考试数学试卷(解析版) 题型:解答题

已知函数2≤x≤8.

(Ⅰ)令,求y关于t的函数关系式,并写出t的范围;

(Ⅱ)求该函数的值域.

查看答案和解析>>

科目:高中数学 来源:2016届辽宁省抚顺市高三12月月考文科数学试卷(解析版) 题型:解答题

选修4—1:几何证明选讲.

如图,是圆的直径,延长线上的一点,是圆的割线,过点的垂线,交直线于点,交直线于点,过点作圆的切线,切点为

(1)求证:四点共圆;

(2)若,求的长.

查看答案和解析>>

科目:高中数学 来源:2016届辽宁省抚顺市高三12月月考理科数学试卷(解析版) 题型:解答题

设数列的前项和满足:,等比数列的前项和为,公比为,且

(1)求数列的通项公式;

(2)设数列的前项和为,求证:

查看答案和解析>>

科目:高中数学 来源:2016届湖南省长沙市高三第一次月考文科数学试卷(解析版) 题型:解答题

设函数

(1)若曲线在点处的切线与直线垂直,求的值;

(2)求函数的单调区间;

(3)若函数有两个极值点,且,求证:

查看答案和解析>>

科目:高中数学 来源:2016届福建省高三上学期期中文科数学试卷(解析版) 题型:填空题

当点在直线上移动时,的最小值为________.

查看答案和解析>>

科目:高中数学 来源:2015-2016学年甘肃省高一上期中数学试卷(解析版) 题型:选择题

函数的图象是( )

A. B. C. D.

查看答案和解析>>

科目:高中数学 来源:2015-2016学年河北省高一上学期期中考试理科数学试卷(解析版) 题型:填空题

若f(x)=(m-2)x2-3mx+1为偶函数,则它的单调递增区间是

查看答案和解析>>

同步练习册答案