精英家教网 > 高中数学 > 题目详情

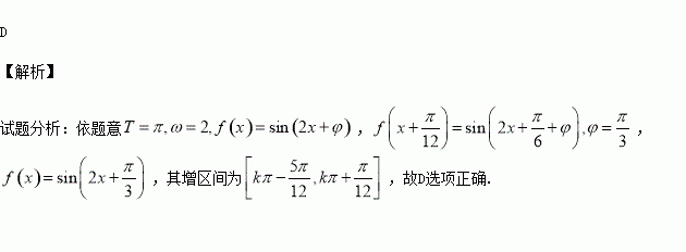
已知函数,其图象相邻两条对称轴之间的距离为,且函数是偶函数.下列判断正确的是( )

A.函数的最小正周期为

B.函数的图象关于点对称

C.函数的图象关于对称

D.函数上单调递增

练习册系列答案
相关习题

科目:高中数学 来源:2017届河南郑州一中网校高三入学测试数学(理)试卷(解析版) 题型:选择题

已知实数满足,若目标函数的最大值为,最小值为,则实数的取值范围是( )

A. B. C. D.

查看答案和解析>>

科目:高中数学 来源:2017届贵州遵义市高三第一次联考数学(理)试卷(解析版) 题型:填空题

已知高与底面半径相等的圆锥的体积为,其侧面积与球 的表面积相等,则球的体积为

查看答案和解析>>

科目:高中数学 来源:2016-2017学年山西怀仁县一中高二上期开学考文数学试卷(解析版) 题型:解答题

已知数列的前项和为,且.

(1)证明:数列是等差数列, 并求出数列的通项公式;

(2)求数列的前项和为.

查看答案和解析>>

科目:高中数学 来源:2016-2017学年山西怀仁县一中高二上期开学考文数学试卷(解析版) 题型:选择题

已知是平面内两个互相垂直的单位向量,若向量满足,则的最大值是( )

A. B. C. D.

查看答案和解析>>

科目:高中数学 来源:2016-2017学年山西怀仁县一中高二上期开学考文数学试卷(解析版) 题型:选择题

已知向量,若,则实数( )

A. B. C. D.

查看答案和解析>>

科目:高中数学 来源:2016-2017学年山西怀仁县一中高二上期开学考理数学试卷(解析版) 题型:解答题

已知函数,且.

(1)求的值;

(2)求函数上的值域.

查看答案和解析>>

科目:高中数学 来源:2015-2016学年四川南充高级中学高二下期期末理数学试卷(解析版) 题型:解答题

已知函数.

(1)若上存在零点,求实数的取值范围;

(2)当时, 若对任意的,总存在使成立, 求实数的取值范围.

查看答案和解析>>

科目:高中数学 来源:2015-2016学年山东济南一中高一下学期期末数学试卷(解析版) 题型:选择题

样本数据的标准差为( )

A. B. C. D.

查看答案和解析>>

同步练习册答案