精英家教网 > 高中数学 > 题目详情

已知抛物线与双曲线的一个交点为M,F为抛物线的焦点,若,则该双曲线的渐近线方程为( )

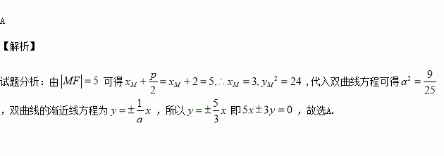
A. B. C. D.

练习册系列答案
相关习题

科目:高中数学 来源:2016届湖南长沙长郡中学高考原创十一文科数学试卷(解析版) 题型:选择题

如图所示,已知,点在线段上,且,设,则等于( )

A. B. C. D.

查看答案和解析>>

科目:高中数学 来源:2015-2016学年湖北省高二5月月考理科数学试卷(解析版) 题型:填空题

已知向量,则 .

查看答案和解析>>

科目:高中数学 来源:2015-2016学年广东惠州一中高二下期中文科数学试卷(解析版) 题型:解答题

设椭圆,定义椭圆的“相关圆”方程为,若抛物线的焦点与椭圆的一个焦点重合,且椭圆短轴的一个端点和其两个焦点构成直角三角形.

(I)求椭圆的方程和“相关圆”的方程;

(II)过“相关圆”上任意一点的直线与椭圆交于两点.为坐标原点,若,证明原点到直线的距离是定值,并求的取值范围.

查看答案和解析>>

科目:高中数学 来源:2015-2016学年广东惠州一中高二下期中文科数学试卷(解析版) 题型:填空题

若复数为虚数单位)是纯虚数,则实数的值为

查看答案和解析>>

科目:高中数学 来源:2015-2016学年广东惠州一中高二下期中文科数学试卷(解析版) 题型:选择题

“复数z=在复平面内对应的点在第三象限”是“a≥0”的( )

A.充分不必要条件 B.必要不充分条件

C.充要条件 D.既不充分也不必要条件

查看答案和解析>>

科目:高中数学 来源:2015-2016学年江西省高二5月月考文科数学试卷(解析版) 题型:填空题

已知函数f(x)=-x3+3x2+9x+a.

(1)求f(x)的单调减区间;

(2)若f(x)在区间[-2,2]上的最大值为20,求它在该区间上的最小值.

查看答案和解析>>

科目:高中数学 来源:2015-2016学年江西省高二5月月考文科数学试卷(解析版) 题型:选择题

双曲线2x2﹣y2=8的实轴长是( )

A.2 B. C.4 D.

查看答案和解析>>

科目:高中数学 来源:2015-2016学年贵州遵义航天高中高二下期中文科数学试卷(解析版) 题型:选择题

某程序框图如右图所示,则输出的值为( )

A. B. C. D.

查看答案和解析>>

同步练习册答案