精英家教网 > 高中数学 > 题目详情
已知函数f(x)=ax2+bx(a≠0)的导函数f′(x)=-2x+7,数列{an}的前n项和为Sn,点Pn(n,Sn)(n∈N*)均在函数y=f(x)的图象上,
(1)求数列{an}的通项公式及Sn的最大值;
(2)令,其中n∈N*,求{nbn}的前n项和。
解:(1),∴
由f′(x)=-2x+7得:a=-1,b=7,
所以
又因为点Pn(n,Sn)(n∈N*)均在函数y=f(x)的图象上,
所以有
当n=1时,a1=S1=6;
当n≥2时,
∴an=-2n+8(n∈N*).
令an=-2n+8≥0得n≤4,∴当n=3或n=4时,Sn取得最大值12;
综上,an=-2n+8(n∈N*),当n=3或n=4时,Sn取得最大值12.
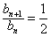
(2)由题意得,
所以,即数列{bn}是首项为8,公比为的等比数列,
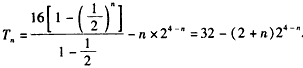
故{nbn}的前n项和,①
,②
所以①-②得:
练习册系列答案
相关习题

科目:高中数学 来源: 题型:

已知函数f(x)=a-
12x+1

(1)求证:不论a为何实数f(x)总是为增函数;
(2)确定a的值,使f(x)为奇函数;
(3)当f(x)为奇函数时,求f(x)的值域.

查看答案和解析>>

科目:高中数学 来源: 题型:

已知函数f(x)
a-x  ,x≤0
1  ,0<x≤3
(x-5)2-a,x>3
(a>0且a≠1)图象经过点Q(8,6).
(1)求a的值,并在直线坐标系中画出函数f(x)的大致图象;
(2)求函数f(t)-9的零点;
(3)设q(t)=f(t+1)-f(t)(t∈R),求函数q(t)的单调递增区间.

查看答案和解析>>

科目:高中数学 来源: 题型:

已知函数f(x)=a-
1
2x+1
,若f(x)为奇函数,则a=(  )
A、
1
2
B、2
C、
1
3
D、3

查看答案和解析>>

科目:高中数学 来源: 题型:

已知函数f(x)=
a(x-1)x2
,其中a>0.
(I)求函数f(x)的单调区间;
(II)若直线x-y-1=0是曲线y=f(x)的切线,求实数a的值;
(III)设g(x)=xlnx-x2f(x),求g(x)在区间[1,e]上的最小值.(其中e为自然对数的底数)

查看答案和解析>>

科目:高中数学 来源: 题型:

已知函数f(x)=a-
12x-1
,(a∈R)
(1)求f(x)的定义域;
(2)若f(x)为奇函数,求a的值;
(3)考察f(x)在定义域上单调性的情况,并证明你的结论.

查看答案和解析>>

同步练习册答案