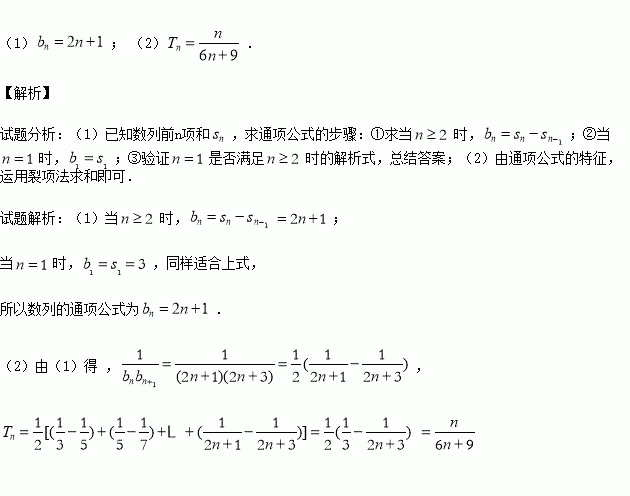
科目:高中数学 来源:2015-2016学年贵州省高二上滾动训练3数学试卷(解析版) 题型:选择题
如图是1,2两组各7名同学体重(单位:kg)数据的茎叶图.设1,2两组数据的平均数依次为
1和
2,标准差依次为s1和s2,那么( )
![]()
(注:标准差
,其中
为x1,x2,…,xn的平均数)
A.
1>
2,s1>s2
B.
1>
2,s1<s2
C.
1<
2,s1<s2
D.
1<
2,s1>s2
查看答案和解析>>
科目:高中数学 来源:2016届云南师范大附中高考适应性月考三文科数学试卷(解析版) 题型:解答题
如图,四边形
为菱形,
,
平面
,
为
中点.
![]()
(Ⅰ)求证:平面![]()
平面
;
(Ⅱ)若
,求三棱锥
的体积.
查看答案和解析>>
科目:高中数学 来源:2016届山西省高三上期中理科数学试卷(解析版) 题型:解答题
某市政府欲在如图所示的矩形
的非农业用地中规划出一个休闲娱乐公园(如图中阴影部分),形状为直角梯形
(线段
和
为两条底边),已知![]()
,![]()
,![]()
,其中曲线
是以
为顶点、
为对称轴的抛物线的一部分.
![]()
(1)求曲线
与
,
所围成区域的面积;
(2)求该公园的最大面积.
查看答案和解析>>
科目:高中数学 来源:2016届山东省高三12月月考理科数学试卷(解析版) 题型:填空题
定义在
上的奇函数
满足
,当
时,
,则以下结论中正确的是______
①
图像关于点
对称;
②
是以2为周期的周期函数;
③当
时,
;
④
在
内单调递增
查看答案和解析>>
科目:高中数学 来源:2016届内蒙古赤峰二中高三上12月月考理科数学试卷(解析版) 题型:解答题
在直角坐标系xOy中,曲线C1的参数方程为
(α为参数).M是C1上的动点,P点满足
=2
,P点的轨迹为曲线C2.
(1)求C2的方程;
(2)在以O为极点,x轴的正半轴为极轴的极坐标系中,射线θ=
与C1的异于极点的交点为A,与C2的异于极点的交点为B,求|AB|.
查看答案和解析>>
科目:高中数学 来源:2016届湖南省长沙市高三月考三文科数学试卷(解析版) 题型:填空题
是双曲线
的左、右焦点,过
的直线l与C的左、右两支分别交于A、B两点,若
,则双曲线的离心率为 .
查看答案和解析>>
科目:高中数学 来源:2015-2016学年湖南省高二上学期期中考试文科数学试卷(解析版) 题型:填空题
若
是函数
的两个不同的零点,且
这三个数可适当排序后成等差数列,也可适当排序后成等比数列,则
的值等于________.
查看答案和解析>>
湖北省互联网违法和不良信息举报平台 | 网上有害信息举报专区 | 电信诈骗举报专区 | 涉历史虚无主义有害信息举报专区 | 涉企侵权举报专区
违法和不良信息举报电话:027-86699610 举报邮箱:58377363@163.com