精英家教网 > 高中数学 > 题目详情

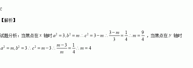
若椭圆的离心率为,则=

(A) (B) (C) (D)

练习册系列答案
相关习题

科目:高中数学 来源:2015-2016学年山东省高一上学期期中模块考试数学试卷(解析版) 题型:选择题

已知函数,则的值为( )

A.1 B.2 C.3 D.4

查看答案和解析>>

科目:高中数学 来源:2015-2016学年福建省高二上学期期中考试文科数学试卷(解析版) 题型:填空题

已知得三边长成公比为的等比数列,则其最大角的余弦值为

查看答案和解析>>

科目:高中数学 来源:2015-2016学年重庆市高二上第一次月考理科数学试卷(解析版) 题型:选择题

已知以为周期的函数,其中.若方程恰有5个实数解,则的取值范围为( )

A. B.

C. D.

查看答案和解析>>

科目:高中数学 来源:2015-2016学年山东省临沂市高二上期中模拟理数学试卷(解析版) 题型:选择题

已知等差数列{an}满足a2+a4=4, a3+a5=10,则它的前10项的和S10=( )

A.138 B.135 C.95 D.23

查看答案和解析>>

科目:高中数学 来源:2015-2016学年辽宁省大连市高二上期中理科数学试卷(解析版) 题型:选择题

若椭圆的离心率为,则=

(A) (B) (C) (D)

查看答案和解析>>

科目:高中数学 来源:2015-2016学年江西省等三校高二上第一次联考数学试卷(解析版) 题型:选择题

直线3x+4y-13=0与圆(x-2)2+(y-3)2=1的位置关系是( )

A.相离 B.相交 C.相切 D.无法判定

查看答案和解析>>

科目:高中数学 来源:2015-2016学年湖北省宜昌市高二上期中文科数学试卷(解析版) 题型:解答题

(本小题满分12分)某高级中学共有学生2 000名,各年级男、女生人数如下表:

高一年级

高二年级

高三年级

女生

373

X

Y

男生

377

370

Z

已知在全校学生中随机抽取1名,抽到高二年级女生的概率是0.19.

(1)求x的值;

(2)现用分层抽样的方法在全校抽取48名学生,问应在高三年级抽取多少名?

(3)已知y≥245,z≥245,求高三年级中女生比男生多的概率.

查看答案和解析>>

科目:高中数学 来源:2016届云南省玉溪市高三上学期期中文科数学试卷(解析版) 题型:填空题

一个空间几何体的三视图如右图,其中正视图是边长为2的正三角形,俯视图是边长分别为1,2的矩形,则该几何体的侧面积为________.

查看答案和解析>>

同步练习册答案