精英家教网 > 高中数学 > 题目详情

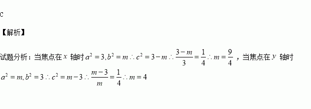
若椭圆的离心率为,则=

(A) (B) (C) (D)

练习册系列答案
相关习题

科目:高中数学 来源:2015-2016学年江苏省无锡市四校高二上学期期中考试数学试卷(解析版) 题型:填空题

过点且与直线垂直的直线的方程为

查看答案和解析>>

科目:高中数学 来源:2015-2016学年福建省高二上学期期中考试理科数学试卷(解析版) 题型:解答题

(本小题满分12分) 在数列中,为常数,

成公比不等于1的等比数列.

(1)求的值;

(2)设,求数列的前项和

查看答案和解析>>

科目:高中数学 来源:2015-2016学年山东省临沂市高二上期中模拟理数学试卷(解析版) 题型:填空题

在数列中,若前n项和满足,则该数列的通项公式

查看答案和解析>>

科目:高中数学 来源:2015-2016学年辽宁省大连市高二上期中文科数学试卷(解析版) 题型:选择题

若椭圆的离心率为,则=

(A) (B) (C) (D)

查看答案和解析>>

科目:高中数学 来源:2015-2016学年江西省等三校高二上第一次联考数学试卷(解析版) 题型:选择题

在正方体ABCD-A′B′C′D′中,过对角线BD′的一个平面交AA′于E、交CC′于F,则以下结论中错误的是( )

A.四边形BFD′E一定是平行四边形

B.四边形BFD′E有可能是正方形

C.四边形BFD′E有可能是菱形

D.四边形BFD′E在底面投影一定是正方形

查看答案和解析>>

科目:高中数学 来源:2015-2016学年江西省赣州市十三县高二上期中联考文科数学试卷(解析版) 题型:选择题

,则下列不等式成立的是( )

A. B.

C. D.

查看答案和解析>>

科目:高中数学 来源:2015-2016学年湖北省宜昌市高二上期中理科数学试卷(解析版) 题型:解答题

(12分) 在平面直角坐标系中,点,直线。设圆的半径为,圆心在上。(1)若圆心也在直线上,过点作圆的切线,求切线的方程;

(2)若圆上存在点,使,求圆心的横坐标的取值范围。

查看答案和解析>>

科目:高中数学 来源:2016届云南省玉溪市高三上学期期中理科数学试卷(解析版) 题型:解答题

(本小题满分12分)为了提高我市的教育教学水平,市教育局打算从红塔区某学校推荐的10名教师中任选3人去参加支教活动。这10名教师中,语文教师3人,数学教师4人,英语教师3人.

求:(1)选出的语文教师人数多于数学教师人数的概率;

(2)选出的3人中,语文教师人数的分布列和数学期望.

查看答案和解析>>

同步练习册答案