精英家教网 > 高中数学 > 题目详情

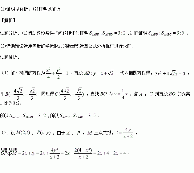
已知椭圆过点,离心率为.

(1)若是椭圆的上顶点,分别是左、右焦点,直线分别交椭圆于,直线,求证:

(2)若分别是椭圆的左、右顶点,动点满足,且交椭圆于点,求证:为定值.

练习册系列答案
相关习题

科目:高中数学 来源:2015-2016学年江苏盐城市高一下学期期末数学试卷(解析版) 题型:填空题

已知点,点在直线上,若满足的点有且仅有1个,则实数的值为

查看答案和解析>>

科目:高中数学 来源:2016-2017学年河北枣强中学高二上学期月考二数学试卷(解析版) 题型:填空题

若点在直线上,过点的直线与曲线只有一个公共点,则的最小值为____________.

查看答案和解析>>

科目:高中数学 来源:2016-2017学年四川三台中学高二上期晚考9.2数学试卷(解析版) 题型:填空题

已知直线l与直线y=1,x-y-7=0分别相交于P、Q两点,线段PQ的中点坐标为(1,-1),那么直线l的斜率为________.

查看答案和解析>>

科目:高中数学 来源:2016-2017学年四川三台中学高二上期晚考9.2数学试卷(解析版) 题型:选择题

如图,直线的斜率分别为,则( )

A. B. C. D.

查看答案和解析>>

科目:高中数学 来源:2016届江苏省高三12月月考数学试卷(解析版) 题型:填空题

中线的中点,为边中点,且,若,则__________.

查看答案和解析>>

科目:高中数学 来源:2016届江苏省高三12月月考数学试卷(解析版) 题型:填空题

已知,且,则__________.

查看答案和解析>>

科目:高中数学 来源:2016届青海西宁五中四中十四中高三下学期联考数学(理)试卷(解析版) 题型:选择题

已知函数是R上的偶函数,在上为减函数且对都有,若是钝角三角形的两个锐角,则( )

A.

B.

C.

D.的大小关系不确定

查看答案和解析>>

科目:高中数学 来源:2017届河北省五个一推荐高三上学期一模数学(文)试卷(解析版) 题型:解答题

已知向量,且分别为△的三边所对的角.

(Ⅰ)求角的大小;

(Ⅱ)若成等比数列,且,求边C的值.

查看答案和解析>>

同步练习册答案