精英家教网 > 高中数学 > 题目详情

已知数列{an}的前n项和为
(Ⅰ)求数列{an}的通项公式;
(Ⅱ)若bn=log4an,求b1+b2+…+bn的值.

解:(Ⅰ) 由an+1=3Sn得an+2=3Sn+1
相减得 an+2﹣an+1=3an+1
(n∈N*),
∴数列a2,a3,a4,…,an,…是以4为公比的等比数列.
其中,a2=3S1=3a1=3,

(2)

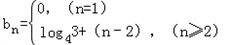
n≥2,bn=log43+(n﹣2),
b1+b2+…+bn=0+(log43+0)+(log43+1)+…+(log43+(n﹣2))
=(n﹣1)+
练习册系列答案
相关习题

科目:高中数学 来源: 题型:

19、已知数列{an}的前n项和Sn=n2(n∈N*),数列{bn}为等比数列,且满足b1=a1,2b3=b4
(1)求数列{an},{bn}的通项公式;
(2)求数列{anbn}的前n项和.

查看答案和解析>>

科目:高中数学 来源: 题型:

已知数列{an}的前n项和Sn=an2+bn(a、b∈R),且S25=100,则a12+a14等于(  )
A、16B、8C、4D、不确定

查看答案和解析>>

科目:高中数学 来源: 题型:

已知数列{an}的前n项和Sn=n2+n+1,那么它的通项公式为an=
 

查看答案和解析>>

科目:高中数学 来源: 题型:

13、已知数列{an}的前n项和为Sn=3n+a,若{an}为等比数列,则实数a的值为
-1

查看答案和解析>>

科目:高中数学 来源: 题型:

已知数列{an}的前n项和Sn满足Sn+1=kSn+2,又a1=2,a2=1.
(1)求k的值及通项公式an
(2)求Sn

查看答案和解析>>

同步练习册答案