精英家教网 > 高中数学 > 题目详情

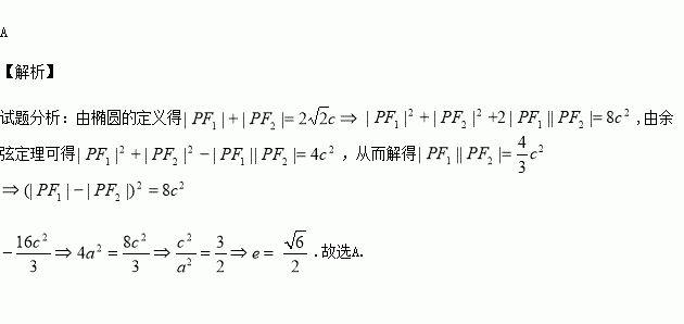
已知离心率为的双曲线和离心率为的椭圆有相同的焦点是两曲线的一个公共点,若,则等于( )

A. B. C. D.3

练习册系列答案
相关习题

科目:高中数学 来源:2016届浙江温州市高三第二次适应性考试数学(文)试卷(解析版) 题型:填空题

的圆心的坐标是 ,设直线与圆交于两点,若,则 .

查看答案和解析>>

科目:高中数学 来源:2017届河南夏邑县第一高级中学高三文一轮复习周测二数学试卷(解析版) 题型:解答题

设命题函数在区间内是减函数;命题是方程的两个实根,且不等式对任意的实数恒成立.若为真,试求实数的取值范围.

查看答案和解析>>

科目:高中数学 来源:2017届新疆兵团农二师华山中学高三上学前考数学(文)试卷(解析版) 题型:解答题

已知函数.

(Ⅰ)当时,解不等式

(Ⅱ)若存在满足,求的取值范围.

查看答案和解析>>

科目:高中数学 来源:2017届新疆兵团农二师华山中学高三上学前考数学(文)试卷(解析版) 题型:填空题

已知函数,若正实数满足,则的最小是

查看答案和解析>>

科目:高中数学 来源:2017届新疆兵团农二师华山中学高三上学前考数学(文)试卷(解析版) 题型:选择题

如图,网格纸上小正方形的边长为1,粗线画出的是某多面体的三视图,则该多面体的体积为( )

A. B.64 C. D.

查看答案和解析>>

科目:高中数学 来源:2015-2016学年江苏盐城市高一下学期期末数学试卷(解析版) 题型:解答题

已知圆的圆心为,直线被圆截得的弦长为,点在直线上.

(1)求圆的标准方程;

(2)设点在圆上,且满足,求点的坐标;

(3)设半径为的圆与圆相离,过点分别作圆与圆的切线,切点分别为,若对任意的点,都有成立,求圆心的坐标.

查看答案和解析>>

科目:高中数学 来源:2015-2016学年江苏盐城市高一下学期期末数学试卷(解析版) 题型:填空题

函数的最小正周期是

查看答案和解析>>

科目:高中数学 来源:2016-2017学年河北枣强中学高二上学期月考二数学试卷(解析版) 题型:选择题

若以连续掷两次骰子分别得到的点数作为点的横、纵坐标,则点落在直线下方的概率为( )

A. B. C. D.

查看答案和解析>>

同步练习册答案