精英家教网 > 高中数学 > 题目详情

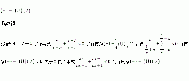
对于问题:“已知关于的不等式的解集为,解关于的不等式”,给出如下一种解法:

【解析】
的解集为,得的解集为

即关于的不等式的解集为

参考上述解法,若关于的不等式的解集为,则关于的不等式的解集为

练习册系列答案
相关习题

科目:高中数学 来源:2015-2016学年江苏省泰兴市高一上学期期中考试数学试卷(解析版) 题型:解答题

已知函数

(Ⅰ)求的定义域及其零点;

(Ⅱ)判断函数在定义域上的单调性,并用函数单调性定义证明.

查看答案和解析>>

科目:高中数学 来源:2016届中国人大附中高三上期中检测文科数学试卷(解析版) 题型:选择题

设函数的定义域为R,则是“函数为奇函数”的( )

A.充分而不必要条件

B.必要而不充分条件

C.充分必要条件

D.既不充分也不必要条件

查看答案和解析>>

科目:高中数学 来源:2016届山东省高三上开学考试理科数学试卷(解析版) 题型:解答题

已知函数,曲线在点处切线方程为

(1)求的值;

(2)讨论的单调性,并求的极大值.

查看答案和解析>>

科目:高中数学 来源:2016届湖南省六校高三12月联考文科数学卷(解析版) 题型:填空题

如图是某学校一名篮球运动员在场比赛中所得分数的茎叶图,则该运动员在这场比赛中得分的中位数为

查看答案和解析>>

科目:高中数学 来源:2016届安徽省等高三第三次联考文科数学卷(解析版) 题型:解答题

在如图所示的圆锥中,是圆锥的高,是底面圆的直径,点是弧的中点,是线段的中点,是线段上一点,且

(1)若的中点,试在上确定一点,使得,并说明理由;

(2)若,求直线与面所成角的正弦值.

查看答案和解析>>

科目:高中数学 来源:2016届安徽省等高三第三次联考理科数学试卷(解析版) 题型:填空题

直线与曲线相切于点,则的值为

查看答案和解析>>

科目:高中数学 来源:2015-2016学年浙江省高二上期中数学试卷(解析版) 题型:选择题

恒成立,则实数的最小值是( )

A. B. C. D.2

查看答案和解析>>

科目:高中数学 来源:2015-2016学年黑龙江齐齐哈尔实验中学高一上期中数学卷(解析版) 题型:解答题

二次函数满足

(1)求的解析式;

(2)在区间上,的图象恒在的图象上方,试确定实数的范围.

查看答案和解析>>

同步练习册答案