精英家教网 > 高中数学 > 题目详情

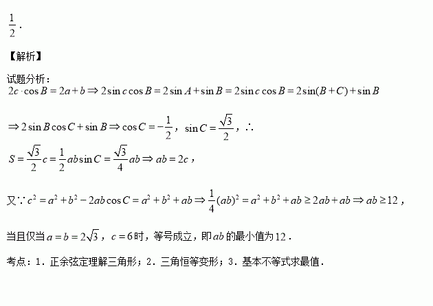
中,角的对边分别为,且,若的面积为,则的最小值为 .

练习册系列答案
相关习题

科目:高中数学 来源: 题型:


已知函数.

(Ⅰ)若上单调递减,求实数的取值范围;

(Ⅱ)若,求函数的极小值;

(Ⅲ)若存在实数使在区间上有两个不同的极值点,求的最小值.

查看答案和解析>>

科目:高中数学 来源:2014-2015学年北京市高三上学期期中模拟考试理科数学试卷(解析版) 题型:填空题

计算

查看答案和解析>>

科目:高中数学 来源:2014-2015学年江西省高三上学期第三次月考文科数学试卷(解析版) 题型:选择题

已知定义在上的函数满足,且的导函数,则不等式的解集为( )

A. B. C. D.

查看答案和解析>>

科目:高中数学 来源:2014-2015学年江西省高三上学期第三次月考理科数学试卷(解析版) 题型:解答题

(本小题满分12分)已知函数(其中是自然对数的底数

(1)若,判断函数在区间上的单调性;

(2)若函数有两个极值点,求的取值范围;

(3)在(2)的条件下,试证明:

查看答案和解析>>

科目:高中数学 来源:2014-2015学年江西省高三上学期第三次月考理科数学试卷(解析版) 题型:选择题

已知,函数处于直线相切,设,若在区间上,不等式恒成立,则实数( )

A.有最小值 B.有最小值

C.有最大值 D.有最大值

查看答案和解析>>

科目:高中数学 来源:2014-2015学年江西省高三上学期第三次月考理科数学试卷(解析版) 题型:选择题

在平行四边形中,为一条对角线,,则=( )

A.(2,4) B.(3,5) C.(1,1) D.(-1,-1)

查看答案和解析>>

科目:高中数学 来源:2014-2015学年江苏省泰州市姜堰区高三上学期期中考试文科数学试卷(解析版) 题型:填空题

不等式的解集为 .

查看答案和解析>>

科目:高中数学 来源:2014-2015学年江苏省泰兴市高三上学期期中考试文科数学试卷(解析版) 题型:填空题

已知三点的坐标分别为,且在线段上,,则的最大值为 .

查看答案和解析>>

同步练习册答案