精英家教网 > 高中数学 > 题目详情

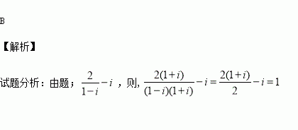
复数为虚数单位)等于( )

A.2-2 B. C.2+ D.2-2

练习册系列答案
相关习题

科目:高中数学 来源:2015-2016学年江西上高二中高一下期末理科数学试卷(解析版) 题型:选择题

函数的递减区间是( )

A. B. C. D.

查看答案和解析>>

科目:高中数学 来源:2015-2016学年重庆八中高二下阶段检测八文科数学试卷(解析版) 题型:选择题

一个多面体的三视图如图所示,则这个多面体的面数及这些面中直角三角形的个数分别为( )

A.5和2 B.5 和3 C.5 和4 D.4和3

查看答案和解析>>

科目:高中数学 来源:2015-2016学年山东省济宁市任城区高二下期中文科数学试卷(解析版) 题型:填空题

已知,的取值如下表:

3

4

5

6

2.5

4

4.5

从散点图分析,线性相关,且回归方程为,则的值为

查看答案和解析>>

科目:高中数学 来源:2015-2016学年山东省济宁市任城区高二下期中文科数学试卷(解析版) 题型:选择题

设正弦函数附近的平均变化率为,则的大小关系为 ( )

A. B. C.= D.不确定

查看答案和解析>>

科目:高中数学 来源:2015-2016学年山东省济宁市任城区高二下期中理科数学试卷(解析版) 题型:选择题

是曲线上任意一点,则点到直线的最短距离为( )

A. B. C. D.

查看答案和解析>>

科目:高中数学 来源:2015-2016学年山东省济宁市任城区高二下期中理科数学试卷(解析版) 题型:选择题

欲证,只需证( )

A.

B.

C.

D.

查看答案和解析>>

科目:高中数学 来源:2015-2016学年广东高州一中高二下学第一次月考文科数学试卷(解析版) 题型:选择题

用反证法证明“如果,那么”,假设的内容应是( )

A. B.

C. D.

查看答案和解析>>

科目:高中数学 来源:2015-2016学年西藏日喀则一中高二下期末文科数学试卷(解析版) 题型:选择题

函数的部分图象为( )

查看答案和解析>>

同步练习册答案