精英家教网 > 高中数学 > 题目详情

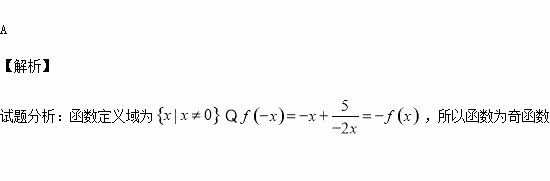
函数f(x)=x+的奇偶性为( )

A.奇函数 B.偶函数

C.非奇非偶函数 D.既是奇函数又是偶函数

练习册系列答案
相关习题

科目:高中数学 来源:2015-2016学年山东省济宁市兖州区高一上学期期中考试数学试卷(解析版) 题型:选择题

设全集等于 ( )

A. B. C. D.

查看答案和解析>>

科目:高中数学 来源:2015-2016学年江西省吉安市高二上期中文科数学试卷(解析版) 题型:填空题

如图,椭圆,圆,椭圆C的左、右焦点分别为,过椭圆上一点P和原点O作直线交圆O于M,N两点,若,则的值为

查看答案和解析>>

科目:高中数学 来源:2015-2016学年安徽省合肥市高一上学期期中数学试卷(解析版) 题型:填空题

已知函数)的值域为,若关于的不等式的解集为,则实数的值为

查看答案和解析>>

科目:高中数学 来源:2015-2016学年广西省钦州市钦南区高二上学期期中考试理科数学试卷(解析版) 题型:选择题

”是“ 函数在区间上单调递减”的

A.充分不必要条件 B.必要不充分条件

C.充分必要条件 D.既不充分也不必要条件

查看答案和解析>>

科目:高中数学 来源:2015-2016学年广东省普宁市华美实验学校高一上学期期中数学试卷(解析版) 题型:选择题

若函数在区间上的最大值是最小值的倍,则的值为( )

A. B. C. D.

查看答案和解析>>

科目:高中数学 来源:2016届北京市朝阳区高三上学期期中统一考试文科数学试卷(解析版) 题型:选择题

已知集合,B=,则A∩B=( )

A. B.

C. D.

查看答案和解析>>

科目:高中数学 来源:2016届浙江省绍兴市高三上学期期中文科数学试卷(解析版) 题型:解答题

已知抛物线,过焦点且垂直轴的弦长为6,抛物线上的两个动点,其中,线段的垂直平分线与轴交于点

(1)求抛物线方程;

(2)试证线段的垂直平分线经过定点,并求此定点;

(3)求面积的最大值.

查看答案和解析>>

科目:高中数学 来源:2016届湖南省高三上第三次月考文数学卷(解析版) 题型:选择题

“函数在区间(0,+∞)上为增函数”是“”的( )

A.充分不必要条件 B.必要不充分条件

C.充要条件 D.既不充分也不必要条件

查看答案和解析>>

同步练习册答案