精英家教网 > 高中数学 > 题目详情

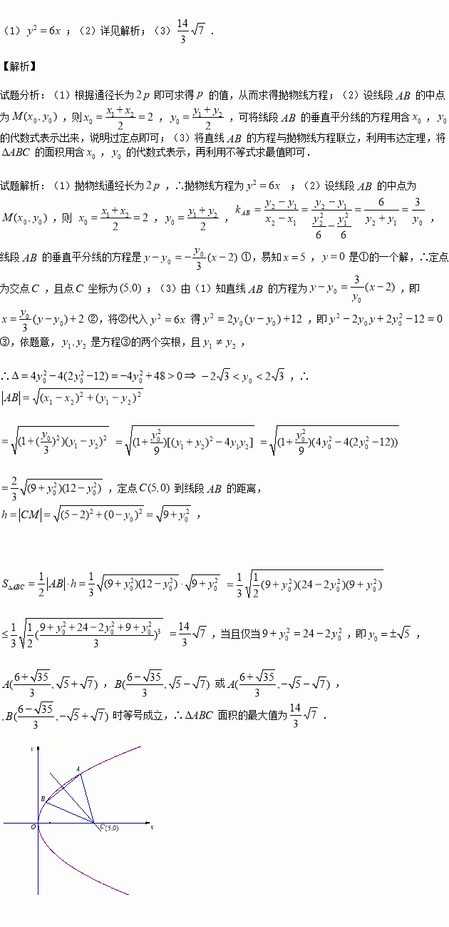
已知抛物线,过焦点且垂直轴的弦长为6,抛物线上的两个动点,其中,线段的垂直平分线与轴交于点

(1)求抛物线方程;

(2)试证线段的垂直平分线经过定点,并求此定点;

(3)求面积的最大值.

练习册系列答案
相关习题

科目:高中数学 来源:2016届湖南省长沙市高三第一次月考文科数学试卷(解析版) 题型:解答题

今年暑假期间,雅礼中学组织学生进社区开展社会实践活动.部分学生进行了关于“消防安全”的调查,随机抽取了50名居民进行问卷调查,活动结束后,对问卷结果进行了统计,并将其中“是否知道灭火器使用方法(知道或不知道)”的调查结果统计如下表:

年龄(岁)

频数

14

12

8

6

知道的人数

3

4

8

7

3

2

(1)求上表中的的值,并补全下图所示的频率分布直方图;

(2)在被调查的居民中,若从年龄在的居民中各随机选取1人参加消防知识讲座,求选中的两人中仅有一人不知道灭火器的使用方法的概率.

查看答案和解析>>

科目:高中数学 来源:2015-2016学年广东省清远市实验学校高一上学期期中数学试卷(解析版) 题型:选择题

函数f(x)=x+的奇偶性为( )

A.奇函数 B.偶函数

C.非奇非偶函数 D.既是奇函数又是偶函数

查看答案和解析>>

科目:高中数学 来源:2016届北京市朝阳区高三上学期期中统一考试理科数学试卷(解析版) 题型:选择题

已知,且,则( )

A. B. C. D.

查看答案和解析>>

科目:高中数学 来源:2015-2016学年河北省高一上学期期中考试理科数学试卷(解析版) 题型:解答题

设函数的定义域为A,集合

(1)若,求

(2)若集合中恰有一个整数,求实数a的取值范围.

查看答案和解析>>

科目:高中数学 来源:2016届浙江省绍兴市高三上学期期中理科数学试卷(解析版) 题型:解答题

在三角形中,的对边分别为,且

(1)求

(2)若,求的取值范围.

查看答案和解析>>

科目:高中数学 来源:2016届山西省高三10月月考文科数学试卷(解析版) 题型:选择题

为三角形三边,,则三角形的形状为( )

A.锐角三角形 B.直角三角形 C.钝角三角形 D.无法确定

查看答案和解析>>

科目:高中数学 来源:2016届辽宁省沈阳市高三上学期期中理科数学试卷(解析版) 题型:选择题

四面体SABC的各棱长都相等,如果E、F分别为SC、AB的中点,那么异面直线EF与SA所成的角等于( )

A.90° B.60° C.45° D.30°

查看答案和解析>>

科目:高中数学 来源:2015-2016学年吉林省高一上期中文科数学试卷(解析版) 题型:填空题

已知,则________.

查看答案和解析>>

同步练习册答案