精英家教网 > 高中数学 > 题目详情

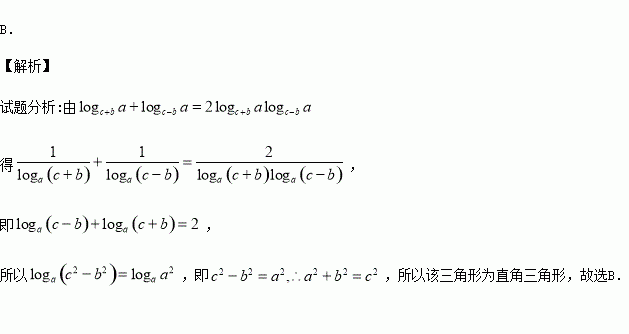
为三角形三边,,则三角形的形状为( )

A.锐角三角形 B.直角三角形 C.钝角三角形 D.无法确定

练习册系列答案
相关习题

科目:高中数学 来源:2015-2016学年江西省吉安市高二上期中文科数学试卷(解析版) 题型:填空题

如图,椭圆,圆,椭圆C的左、右焦点分别为,过椭圆上一点P和原点O作直线交圆O于M,N两点,若,则的值为

查看答案和解析>>

科目:高中数学 来源:2016届北京市朝阳区高三上学期期中统一考试文科数学试卷(解析版) 题型:选择题

已知集合,B=,则A∩B=( )

A. B.

C. D.

查看答案和解析>>

科目:高中数学 来源:2016届浙江省绍兴市高三上学期期中文科数学试卷(解析版) 题型:解答题

已知抛物线,过焦点且垂直轴的弦长为6,抛物线上的两个动点,其中,线段的垂直平分线与轴交于点

(1)求抛物线方程;

(2)试证线段的垂直平分线经过定点,并求此定点;

(3)求面积的最大值.

查看答案和解析>>

科目:高中数学 来源:2016届浙江省绍兴市高三上学期期中理科数学试卷(解析版) 题型:填空题

设复数满足关系,那么_________,__________.

查看答案和解析>>

科目:高中数学 来源:2016届山西省高三10月月考理科数学试卷(解析版) 题型:选择题

已知是平面内互不相等的两个非零向量,且的夹角为,则的取值范围是 ( )

A. B. C. D.

查看答案和解析>>

科目:高中数学 来源:2016届辽宁省沈阳市高三上学期期中文科数学试卷(解析版) 题型:选择题

,则的大小关系是( )

A. B. C. D.

查看答案和解析>>

科目:高中数学 来源:2016届湖南省高三上第三次月考文数学卷(解析版) 题型:选择题

“函数在区间(0,+∞)上为增函数”是“”的( )

A.充分不必要条件 B.必要不充分条件

C.充要条件 D.既不充分也不必要条件

查看答案和解析>>

科目:高中数学 来源:2015-2016学年湖北孝感高中高二上学期期中文科数学试卷(解析版) 题型:选择题

已知具有线性相关的两个变量x,y之间的一组数据如下:

0

1

2

3

4

2.2

4.3

t

4.8

6.7

且回归方程是,则t=

A.4.7 B.4.6 C.4.5 D.4.4

查看答案和解析>>

同步练习册答案