精英家教网 > 高中数学 > 题目详情

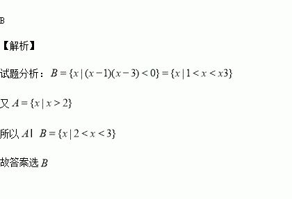
已知集合,B=,则A∩B=( )

A. B.

C. D.

练习册系列答案
相关习题

科目:高中数学 来源:2016届辽宁省抚顺市高三12月月考文科数学试卷(解析版) 题型:解答题

为了调查学生星期天晚上学习时间利用问题,某校从高二年级1000名学生(其中走读生450名,住宿生550名)中,采用分层抽样的方法抽取名学生进行问卷调查,根据问卷取得了这名同学每天晚上学习时间(单位:分钟)的数据,按照以下区间分为八组①,②,③,④,⑤,⑥,⑦,⑧,得到频率分布直方图如下,已知抽取的学生中星期天晚上学习时间少于60分钟的人数为5人:

(1)求的值并补全下列频率分布直方图;

(2)如果把“学生晚上学习时间达到两小时”作为是否充分利用时间的标准,对抽取的名学生,完成下列列联表:

利用时间充分

利用时间不充分

总计

走读生

住宿生

10

总计

据此资料,你是否认为学生“利用时间是否充分”与走读、住宿有关?

参考公式:

查看答案和解析>>

科目:高中数学 来源:2015-2016学年甘肃省高一上期中数学试卷(解析版) 题型:选择题

.已知二次函数满足,那么它的图象是下图中的( ))

A. B. C. D.

查看答案和解析>>

科目:高中数学 来源:2015-2016学年广东省清远市实验学校高一上学期期中数学试卷(解析版) 题型:选择题

函数f(x)=x+的奇偶性为( )

A.奇函数 B.偶函数

C.非奇非偶函数 D.既是奇函数又是偶函数

查看答案和解析>>

科目:高中数学 来源:2015-2016学年广东省普宁市华美实验学校高一上学期期中数学试卷(解析版) 题型:选择题

函数f(x)=的定义域是( )

A.R B.{x|x≥0} C.{x|x>0} D.{x|x≠0}

查看答案和解析>>

科目:高中数学 来源:2016届北京市朝阳区高三上学期期中统一考试理科数学试卷(解析版) 题型:选择题

已知,且,则( )

A. B. C. D.

查看答案和解析>>

科目:高中数学 来源:2015-2016学年河北省高一上学期期中考试理科数学试卷(解析版) 题型:解答题

设函数的定义域为A,集合

(1)若,求

(2)若集合中恰有一个整数,求实数a的取值范围.

查看答案和解析>>

科目:高中数学 来源:2016届山西省高三10月月考文科数学试卷(解析版) 题型:选择题

为三角形三边,,则三角形的形状为( )

A.锐角三角形 B.直角三角形 C.钝角三角形 D.无法确定

查看答案和解析>>

科目:高中数学 来源:2015-2016学年江西省吉安市高一上学期期中数学试卷(解析版) 题型:解答题

某厂生产一种产品,每件产品的成本为40元,出厂单价定为60元,该厂为鼓励销售商订购,决定当一次订购量超过100件时,每多订购一件,订购的全部产品的出场单价就降低0.02元,根据市场调查,销售商一次订购量不会超过600件.

(1)设一次订购x件,产品的实际出厂单价p元,写出函数的表达式;

(2)当销售商一次订购多少件产品时,该厂获得的利润最大?其最大利润是多少?

查看答案和解析>>

同步练习册答案