精英家教网 > 高中数学 > 题目详情

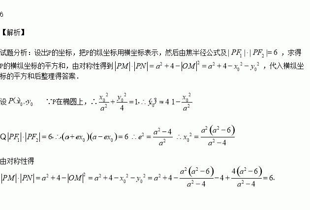
如图,椭圆,圆,椭圆C的左、右焦点分别为,过椭圆上一点P和原点O作直线交圆O于M,N两点,若,则的值为

练习册系列答案
相关习题

科目:高中数学 来源:2016届福建省高三上学期半期考试文科数学试卷(解析版) 题型:选择题

设向量均为单位向量,且,则夹角为( )

A. B. C. D.

查看答案和解析>>

科目:高中数学 来源:2016届辽宁省抚顺市高三12月月考文科数学试卷(解析版) 题型:解答题

为了调查学生星期天晚上学习时间利用问题,某校从高二年级1000名学生(其中走读生450名,住宿生550名)中,采用分层抽样的方法抽取名学生进行问卷调查,根据问卷取得了这名同学每天晚上学习时间(单位:分钟)的数据,按照以下区间分为八组①,②,③,④,⑤,⑥,⑦,⑧,得到频率分布直方图如下,已知抽取的学生中星期天晚上学习时间少于60分钟的人数为5人:

(1)求的值并补全下列频率分布直方图;

(2)如果把“学生晚上学习时间达到两小时”作为是否充分利用时间的标准,对抽取的名学生,完成下列列联表:

利用时间充分

利用时间不充分

总计

走读生

住宿生

10

总计

据此资料,你是否认为学生“利用时间是否充分”与走读、住宿有关?

参考公式:

查看答案和解析>>

科目:高中数学 来源:2016届湖南省长沙市高三第一次月考文科数学试卷(解析版) 题型:解答题

今年暑假期间,雅礼中学组织学生进社区开展社会实践活动.部分学生进行了关于“消防安全”的调查,随机抽取了50名居民进行问卷调查,活动结束后,对问卷结果进行了统计,并将其中“是否知道灭火器使用方法(知道或不知道)”的调查结果统计如下表:

年龄(岁)

频数

14

12

8

6

知道的人数

3

4

8

7

3

2

(1)求上表中的的值,并补全下图所示的频率分布直方图;

(2)在被调查的居民中,若从年龄在的居民中各随机选取1人参加消防知识讲座,求选中的两人中仅有一人不知道灭火器的使用方法的概率.

查看答案和解析>>

科目:高中数学 来源:2016届福建省高三上学期期中文科数学试卷(解析版) 题型:选择题

,若函数在区间上有三个零点,则实数的取值范围是( )

A. B. C. D.

查看答案和解析>>

科目:高中数学 来源:2015-2016学年江西省吉安市高二上期中理科数学试卷(解析版) 题型:填空题

设动点P在棱长为1的正方体的对角线上,记,当为钝角时,的取值范围是

查看答案和解析>>

科目:高中数学 来源:2015-2016学年甘肃省高一上期中数学试卷(解析版) 题型:选择题

.已知二次函数满足,那么它的图象是下图中的( ))

A. B. C. D.

查看答案和解析>>

科目:高中数学 来源:2015-2016学年广东省清远市实验学校高一上学期期中数学试卷(解析版) 题型:选择题

函数f(x)=x+的奇偶性为( )

A.奇函数 B.偶函数

C.非奇非偶函数 D.既是奇函数又是偶函数

查看答案和解析>>

科目:高中数学 来源:2016届山西省高三10月月考文科数学试卷(解析版) 题型:选择题

为三角形三边,,则三角形的形状为( )

A.锐角三角形 B.直角三角形 C.钝角三角形 D.无法确定

查看答案和解析>>

同步练习册答案