精英家教网 > 高中数学 > 题目详情

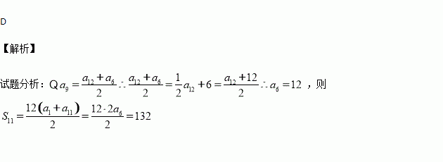
在等差数列中,,则数列的前11项和( )

A.24 B.48 C.66 D.132

练习册系列答案
相关习题

科目:高中数学 来源:2015-2016学年湖南衡阳八中高二上学期期中文科数学试卷(解析版) 题型:解答题

已知中心在原点的双曲线的右焦点为,右顶点为.

(1)求双曲线的方程;

(2)若直线与双曲线恒有两个不同的交点,且(其中为原点),求的取值范围.

查看答案和解析>>

科目:高中数学 来源:2015-2016学年江苏省高邮市高一上学期期中调研数学试卷(解析版) 题型:填空题

查看答案和解析>>

科目:高中数学 来源:2016届贵州省高三5月高考模拟文科数学试卷(解析版) 题型:解答题

等比数列的各项均为正数,且.

(1)求数列的通项公式;

(2)设,求数列的前项和.

查看答案和解析>>

科目:高中数学 来源:2016届贵州省高三5月高考模拟文科数学试卷(解析版) 题型:选择题

若关于直线与平面,有下列四个命题:

①若,且,则

②若,且,则

③若,且,则

④若,且,则

其中真命题的序号( )

A.①② B.③④ C.②③ D.①

查看答案和解析>>

科目:高中数学 来源:2016届贵州省高三5月高考模拟理科数学试卷(解析版) 题型:解答题

选修:坐标系与参数方程选讲.

在平面直角坐标系中,曲线为参数,实数),曲线

为参数,实数). 在以为极点, 轴的正半轴为极轴的极坐标系中,射线交于两点,与交于两点. 当时, ;当时, .

(1)求的值; (2)求的最大值.

查看答案和解析>>

科目:高中数学 来源:2016届贵州省高三5月高考模拟理科数学试卷(解析版) 题型:填空题

在正方形中,分别是边上的动点,当时,则的取值范围为 .

查看答案和解析>>

科目:高中数学 来源:2016届河北省高三下学期猜题文科数学试卷(解析版) 题型:解答题

如图,为四边形外接圆的切线,的延长线交于点相交于点,且.

(1)求证:

(2)若,求的长.

查看答案和解析>>

科目:高中数学 来源:2016届河北省高三下学期猜题理科数学试卷(解析版) 题型:选择题

如图所示的是函数和函数的部分图象,则函数的解析式是( )

A. B.

C. D.

查看答案和解析>>

同步练习册答案