精英家教网 > 高中数学 > 题目详情

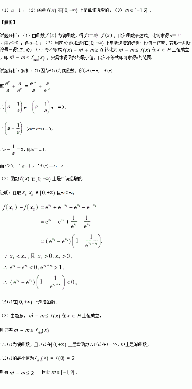
已知 (a>0)是定义在R上的偶函数,

(1)求实数a的值;

(2)判断并证明函数的单调性;

(3)若关于的不等式的解集为,求实数的取值范围.

练习册系列答案
相关习题

科目:高中数学 来源:2015-2016学年陕西省西安市高二下期中数学试卷(解析版) 题型:解答题

设函数,其中a,x∈R,e是自然对数的底数,.

(Ⅰ)当a=0时,解不等式

(Ⅱ)求函数的单调增区间;

(Ⅲ)设,讨论关于x的方程的解的个数.

查看答案和解析>>

科目:高中数学 来源:2016届陕西西北工大附中高三下第六次训练文数学卷(解析版) 题型:选择题

,则“ ”是“ ”的

A.充分而不必要条件 B.必要而不充分条件

C.充要条件 D.既不充分也不必要条件

查看答案和解析>>

科目:高中数学 来源:2016届陕西西北工大附中高三下第六次训练理数学卷(解析版) 题型:选择题

在一块并排10垄的田地中,选择3垄分别种植A,B,C三种作物,每种作物种植一垄.为有利于作物生长,要求任意两种作物的间隔不小于2垄,则不同的种植方法共有( )

A.180种 B.120种 C.108种 D.90种

查看答案和解析>>

科目:高中数学 来源:2016届陕西西北工大附中高三下第六次训练理数学卷(解析版) 题型:选择题

,则“ ”是“ ”的( )

A.充分而不必要条件 B.必要而不充分条件

C.充要条件 D.既不充分也不必要条件

查看答案和解析>>

科目:高中数学 来源:2015-2016学年天津市等六校高一上期末数学试卷(解析版) 题型:填空题

函数的单调递增区间为 .

查看答案和解析>>

科目:高中数学 来源:2015-2016学年天津市等六校高一上期末数学试卷(解析版) 题型:选择题

把函数的图象向右平移(其中)个单位,所得图象关于y轴对称,则的最小值是( )

A. B. C. D.

查看答案和解析>>

科目:高中数学 来源:2015-2016学年福建省高一上学期期末考试数学试卷(解析版) 题型:填空题

如图是一几何体的平面展开图,其中ABCD为正方形,E,F分别为PA,PD的中点.在此几何体中,给出下面四个结论:

①B,E,F,C四点共面; ②直线BF与AE异面;③直线EF∥平面PBC; ④平面BCE⊥平面PAD;.⑤折线B→E→F→C是从B点出发,绕过三角形PAD面,到达点C的一条最短路径.

其中正确的有_____________.(请写出所有符合条件的序号)

查看答案和解析>>

科目:高中数学 来源:2015-2016学年湖北省孝感市六校高一上期末文科数学试卷(解析版) 题型:填空题

圆的半径为6 ,则15°的圆心角所对的弧长为 ,扇形面积为 .(用π表示)

查看答案和解析>>

同步练习册答案