精英家教网 > 高中数学 > 题目详情
已知数列{an}的前n项和Sn和通项an满足(q是常数且q>0,q≠1,).
(1)求数列{an}的通项公式;
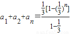
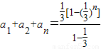
(2)当时,试证明a1+a2+…+an
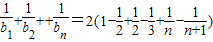
(3)设函数f(x)=logqx,bn=f(a1)+f(a2)+…+f(an),是否存在正整数m,使对任意n∈N*都成立?若存在,求出m的值,若不存在,说明理由.
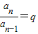
【答案】分析:(1)由an=Sn-Sn-1=(an-1-1),知,由S1=a1=(a1-1)得a1=q,由此知an=q•qn-1=qn
(2),由此能证明出a1+a2+…+an
(3)bn=logqa1+logqa2+logqan=logq(a1a2an)==,所以,由此能求出m的值.
解答:解:(1)当n≥2时,an=Sn-Sn-1=(an-1-1)(2分)
(2分)
又由S1=a1=(a1-1)得a1=q(3分)
∴数列an是首项a1=q、公比为q的等比数列,∴an=q•qn-1=qn(5分)
(2)(7分)
=(9分)

(3)bn=logqa1+logqa2+logqan=logq(a1a2an)=(9分)
=(11分)
,即
∵n=1时
∴m≤3(14分)
∵m是正整数,
∴m的值为1,2,3.(16分)
点评:本题考查数列和不等式的综合运用,解题时要注意等比数列性质的灵活运用.
练习册系列答案
相关习题

科目:高中数学 来源: 题型:

19、已知数列{an}的前n项和Sn=n2(n∈N*),数列{bn}为等比数列,且满足b1=a1,2b3=b4
(1)求数列{an},{bn}的通项公式;
(2)求数列{anbn}的前n项和.

查看答案和解析>>

科目:高中数学 来源: 题型:

已知数列{an}的前n项和Sn=an2+bn(a、b∈R),且S25=100,则a12+a14等于(  )
A、16B、8C、4D、不确定

查看答案和解析>>

科目:高中数学 来源: 题型:

已知数列{an}的前n项和Sn=n2+n+1,那么它的通项公式为an=
 

查看答案和解析>>

科目:高中数学 来源: 题型:

13、已知数列{an}的前n项和为Sn=3n+a,若{an}为等比数列,则实数a的值为
-1

查看答案和解析>>

科目:高中数学 来源: 题型:

已知数列{an}的前n项和Sn满足Sn+1=kSn+2,又a1=2,a2=1.
(1)求k的值及通项公式an
(2)求Sn

查看答案和解析>>

同步练习册答案